Главная Случайная страница


Полезное:

Как сделать разговор полезным и приятным Как сделать объемную звезду своими руками Как сделать то, что делать не хочется? Как сделать погремушку Как сделать так чтобы женщины сами знакомились с вами Как сделать идею коммерческой Как сделать хорошую растяжку ног? Как сделать наш разум здоровым? Как сделать, чтобы люди обманывали меньше Вопрос 4. Как сделать так, чтобы вас уважали и ценили? Как сделать лучше себе и другим людям Как сделать свидание интересным?


Категории:

АрхитектураАстрономияБиологияГеографияГеологияИнформатикаИскусствоИсторияКулинарияКультураМаркетингМатематикаМедицинаМенеджментОхрана трудаПравоПроизводствоПсихологияРелигияСоциологияСпортТехникаФизикаФилософияХимияЭкологияЭкономикаЭлектроника






Энергия молекулы





1) Из опытов известно, что рентгеновские спектры тяжелых элементов не зависят от того, в состав каких химических соединений они входят. Значит, взаимодействие атомов обусловлено внешними электронами и не влияет на рентгеновский спектр атома.

2) В качестве простейшего примера рассмотрим молекулу, состоящую из двух одинаковых атомов (например Н2). Потенциальная энергия такой системы
- Из уравнения Шредингера получается, что собственные значения энергии молекулы зависят от R, т.е. Е=Е(R) и график Е(R) имеет вид:

При этом получается семейство кривых, каждая из которых соответствует определенному квантовому состоянию электрона. Энергию, обусловленную электронной конфигурацией будем называть электронной (она вносит наибольший вклад в изменение энергии молекулы).

r′
r
3)При заданной электронной конфигурации ядра молекулы могут различным образом колебаться и вращаться относительно общего центра масс. Приближенно можно полагать, что энергия молекулы ,

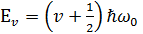
где - электронная энергия,

- колебательная энергия

(см. квантовый гермонический осциллятор).

– вращательная энергия (см. ротатор). Таким образом, полная энергия молекулы

4) Доказано, что интервал между вращатель-

ными уровнями значительноменьше интер-

вала между колебательными уровнями, и

они оба значительно меньше интервала

между электронными уровнями. Схема энер-гетических уровней двухатомной молекулы:

 







Date: 2015-05-19; view: 553; Нарушение авторских прав



mydocx.ru - 2015-2026 year. (1.583 sec.) Все материалы представленные на сайте исключительно с целью ознакомления читателями и не преследуют коммерческих целей или нарушение авторских прав - Пожаловаться на публикацию