Главная Случайная страница


Полезное:

Как сделать разговор полезным и приятным Как сделать объемную звезду своими руками Как сделать то, что делать не хочется? Как сделать погремушку Как сделать так чтобы женщины сами знакомились с вами Как сделать идею коммерческой Как сделать хорошую растяжку ног? Как сделать наш разум здоровым? Как сделать, чтобы люди обманывали меньше Вопрос 4. Как сделать так, чтобы вас уважали и ценили? Как сделать лучше себе и другим людям Как сделать свидание интересным?


Категории:

АрхитектураАстрономияБиологияГеографияГеологияИнформатикаИскусствоИсторияКулинарияКультураМаркетингМатематикаМедицинаМенеджментОхрана трудаПравоПроизводствоПсихологияРелигияСоциологияСпортТехникаФизикаФилософияХимияЭкологияЭкономикаЭлектроника






Нормальное распределение. Исключительно важную роль в теории вероятностей играет нормальное распределение (закон Гаусса)





Исключительно важную роль в теории вероятностей играет нормальное распределение (закон Гаусса).

Непрерывная случайная величина x имеет нормальное распределение вероятностей с параметрами а, s > 0, если плотность распределения ее имеет вид:

Нормальный закон распределения широко применяется в практических задачах, он проявляется во всех случаях, когда случайная величина является результатом действия большого числа различных факторов. Каждый фактор в отдельности на величину x влияет незначительно.

Функция распределения такой случайной величины имеет вид:

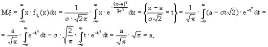
Для определения числовых характеристик воспользуемся интегралом Пуассона:

Имеем:

то есть Mx = a.

Далее,

итак:

Dx = s 2 .

Таким образом, параметры а, s 2 есть математическое ожидание и дисперсия нормально распределенной случайной величины, а

График плотности вероятности имеет вид нормальной кривой (Гаусса):

Отметим некоторые свойства нормальной кривой.

1. Кривая распределения симметрична относительно прямой х = а.

2.

3.

4. При изменении математического ожидания и при s = Const, происходит смещение кривой вдоль оси Ох. Если положить а = Const и изменять s, то кривая изменяет свой вид в зависимости от s.

Замечание. Пусть x - нормальная случайная величина с параметрами (0,1), Тогда ее плотность имеет вид:

,

а функция распределения

есть функция Лапласа (см. (13.4\)).

С помощью Ф(х) можно вычислять вероятность того, что нормальная случайная величина с параметрами (а,s 2) примет значение из интервала (a,b).

Именно,

Отметим важный частный случай последней формулы:

Если взять , то получим, независимо от а,

Формула (14.22) носит название правила трех сигм.







Date: 2015-05-19; view: 666; Нарушение авторских прав



mydocx.ru - 2015-2026 year. (1.133 sec.) Все материалы представленные на сайте исключительно с целью ознакомления читателями и не преследуют коммерческих целей или нарушение авторских прав - Пожаловаться на публикацию