Главная Случайная страница


Полезное:

Как сделать разговор полезным и приятным Как сделать объемную звезду своими руками Как сделать то, что делать не хочется? Как сделать погремушку Как сделать так чтобы женщины сами знакомились с вами Как сделать идею коммерческой Как сделать хорошую растяжку ног? Как сделать наш разум здоровым? Как сделать, чтобы люди обманывали меньше Вопрос 4. Как сделать так, чтобы вас уважали и ценили? Как сделать лучше себе и другим людям Как сделать свидание интересным?


Категории:

АрхитектураАстрономияБиологияГеографияГеологияИнформатикаИскусствоИсторияКулинарияКультураМаркетингМатематикаМедицинаМенеджментОхрана трудаПравоПроизводствоПсихологияРелигияСоциологияСпортТехникаФизикаФилософияХимияЭкологияЭкономикаЭлектроника






Примеры решения задач. Задача 4.1. Определить частоту электромагнитного излучения при переходе электрона в атоме водорода с третьего энергетического уровня на второй





 

Задача 4.1. Определить частоту электромагнитного излучения при переходе электрона в атоме водорода с третьего энергетического уровня на второй.

 

Дано: m = 2, n = 3.

Найти: ν.

 

Р е ш е н и е

 

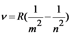
Частота электромагнитного излучения при переходе атома из одного энергетического состояния в другое определяется обобщенной формулой Бальмера

.

 

По условию задачи атом водорода переходит из состояния с главным квантовым числом m = 2 в состояние с n = 3. Подставляя числовые значения, получают

Гц.

 

Ответ: ν=4,6·1014 Гц.

 

Задача 4.2. Найти наибольшую и наименьшую длины волн спектральных линий водорода в серии Бальмера.

 

Дано: m = 2.

Найти: λmax; λmin.

Р е ш е н и е

 

Длина волны λ, излучаемого атомом кванта энергии определяется по формуле Бальмера

.

 

Постоянная Ридберга м-1, m и n - главные квантовые числа

.

Наибольшая длина волны в серии Бальмера наблюдается при переходе электрона с третьего энергетического уровня n = 3 (см. рис. 4.2) на второй, значит m = 2

 

м.

 

Наименьшая длина волны излучается атомом при переходе электрона с энергетического уровня, соответствующего квантовому числу n = ∞ на второй энергетический уровень m = 2

 

м.

 

Ответ: λmax = 6,5·10-7 м, λmin = 3,6·10-7 м.

 

Задача 4.3. Найти первый потенциал возбуждения атома водорода.

Дано: m = 1, n = 2.

Найти: φ.

Р е ш е н и е

 

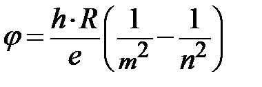
Основным состоянием атома водорода называют состояние с m = 1, а возбужденным с n = 2 и больше. Энергия, соответствующая переходу атома из одного энергетического состояния в другое, определяется по формуле

 

. (4.6)

 

Эту энергию сообщит атому электрон при столкновении, предварительно ускоренный электрическим полем с потенциалом , тогда энергия электрона будет равна

, (4.7)

 

где е - элементарный заряд.

Сравнивая формулы (4.6) и (4.7),получаем выражение для потенциала

 

.

 

Вычисления .

Ответ: .

варианты задач

1. В инфракрасной серии Пашена спектра водорода рассчитать наибольшую и наименьшую длину волны.

 

2. Определить длину волны кванта, излучаемого ионом лития (Li++) при переходе электрона со второго энергетического уровня на первый.

 

3. В каких пределах должна находиться частота света, чтобы при возбуждении атомов водорода квантами этого света наблюдались три спектральные линии в серии Бальмера?

 

4. Рассчитать потенциал ионизации иона гелия (Не+).

 

5. Вычислить максимальную энергию фотона в спектре излучения иона лития (Li++).

 

6. Электрон в атоме водорода перешел с четвертого энергетического уровня на второй. Определить энергию испущенного фотона.

 

7. Рассчитать энергию кванта электромагнитной волны, излучаемого при переходе электрона с третьего энергетического уровня на первый в атоме водорода.

 

8. Определить в ультрафиолетовой серии Лаймана спектра водорода наименьшую и наибольшую длину волны.

 

9. Рассчитать энергию кванта электромагнитной волны, излучаемого ионом гелия (Не+) при переходе электрона с третьего энергетического уровня на первый.

 

10. Определить длину волны кванта, излучаемого ионом гелия (Не+) при переходе электрона со второго энергетического уровня на первый.

 

11. Определить энергию ионизации атома водорода.

 

12. Найти энергию кванта электромагнитной волны, излучаемого ионом гелия при переходе электрона со второго энергетического уровня на первый.

 

13. Найти потенциал ионизации атома водорода.

 

14. В инфракрасной серии Брэкета спектра водорода рассчитать наименьшую и наибольшую частоту волны.

 

15. Вычислить энергию ионизации для иона гелия (Не+).

 

16. Вычислить радиус первой боровской орбиты электрона в атоме водорода.

 

17. Рассчитать скорость электрона, находящегося на первой боровской орбите в атоме водорода.

 

18. Определить длину волны, соответствующую границе серии Лаймана.

 

19. Вычислить энергию ионизации иона лития (Li++).

 

20. Определить первый потенциал возбуждения двукратно ионизированного лития (Li++).

 

21. Рассчитать длину волны кванта, излучаемого при переходе электрона с третьего энергетического уровня на первый в атоме водорода.

 

22. Найти длину волны второй спектральной линии в серии Пашена.


 

23. В серии Пфунда спектра водорода рассчитать наименьшую и наибольшую длину волны.

 

24. Вычислить максимальную энергию фотона в спектре излучения иона лития (Li++).

 

25. Рассчитать частоту фотона, излучаемого при переходе электрона с третьего энергетического уровня на второй в атоме водорода.

 

26. Определить частоту кванта электромагнитной волны, излучаемого при переходе электрона с четвертого энергетического уровня на второй в атоме водорода.

 

27. Рассчитать частоту кванта электромагнитной волны, излучаемого ионом гелия (Не+) при переходе электрона со второго энергетического уровня на первый.

 

28. В серии Хемфри спектра водорода рассчитать наименьшую и наибольшую длину волны.

 

29. Определить энергию кванта, излучаемого при переходе электрона с четвертого энергетического уровня на третий в атоме водорода.

 

30. Вычислить максимальную энергию фотона в спектре излучения иона гелия (Не+).

 







Date: 2015-05-19; view: 28584; Нарушение авторских прав



mydocx.ru - 2015-2026 year. (0.858 sec.) Все материалы представленные на сайте исключительно с целью ознакомления читателями и не преследуют коммерческих целей или нарушение авторских прав - Пожаловаться на публикацию