Главная Случайная страница


Полезное:

Как сделать разговор полезным и приятным Как сделать объемную звезду своими руками Как сделать то, что делать не хочется? Как сделать погремушку Как сделать так чтобы женщины сами знакомились с вами Как сделать идею коммерческой Как сделать хорошую растяжку ног? Как сделать наш разум здоровым? Как сделать, чтобы люди обманывали меньше Вопрос 4. Как сделать так, чтобы вас уважали и ценили? Как сделать лучше себе и другим людям Как сделать свидание интересным?


Категории:

АрхитектураАстрономияБиологияГеографияГеологияИнформатикаИскусствоИсторияКулинарияКультураМаркетингМатематикаМедицинаМенеджментОхрана трудаПравоПроизводствоПсихологияРелигияСоциологияСпортТехникаФизикаФилософияХимияЭкологияЭкономикаЭлектроника






Основные формулы





Тепловое излучение –электромагнитное излучение, испускаемое веществом и возникающее за счет его внутренней энергии.    

 

 


· Характеристики теплового излучения
Rэ  
Энергетическая

светимость

 

 

 
Спектральная плотность энергетической

светимости

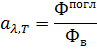
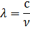
Обозначения и наименования физических величин • Rт - энергетическая светимость тела; • Rэ - энергетическая светимость а.ч.т. (абсолютно черное тело); • S – площадь поверхности излучателя; • Wизл – энергия излучения; • t – время излучения; • Фпогл – поток излучения, поглощенный телом; • Фe – поток излучения, падающий на тело; • T – термодинамическая температура; • λm – длина волны, на которую приходится максимум энергии излучателя; • - максимальная спектральная плотность энергетической светимости а.ч.т.; • - спектральная плотность энергетической светимости а.ч.т.;
· Параметры теплового излучения
 

Поглощательная

способность тела

 

 

 

Мощность

излучения

 

 

Формула связи

Rт = ·Rэ

энергетической светимости тела

с энергетической светимостью а.ч.т.

• Законы теплового излучения Rэ= σT4 Закон Стефана-Больцмана   λ= Закон смещения Вина (e λ,T)max = c2T5 Второй закон Вина e λ,T = Закон Кирхгофа     • Физические постоянные   σ =5,67∙10-8 – постоянная Стефана-Больцмана; с1=2,9∙10-3 м∙К – постоянная Вина; с2=1,36∙10-5 - вторая постоянная Вина, связывающая максимальную спектральную плотность энергетической светимости а.ч.т. с термодинамической температурой

Внешний фотоэффект – явление вырывания электронов из вещества под действием падающего на него света.

 

· Характеристики фотона
E=h

 


E=mc2
Энергия

 


Длина волны

 

 

Масса

Pγ=mc


Импульс

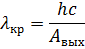
Обозначения и наименования физических величин: · – частота света; · Qmax – максимальный заряд, переносимый фотоэлектронами; · n – число фотоэлектронов, вылетающих из освещаемого металла в единицу времени; · λкр – максимальная длина волны излучения, при которой еще возможен фотоэффект; · кр – минимальная частота излучения, при которой еще возможен фотоэффект; · Авых – работа выхода электрона из металла; · - кинетическая энергия электрона; · U3 – задерживающее напряжение  
Параметры внешнего фотоэффекта   Сила тока насыщения

“Красная граница”

фотоэффекта

 


 

 

 

 

· Законы внешнего фотоэффекта


/// Уравнение

Эйнштейна

 


Работа

задерживающего

поля

· Физические постоянные:   h = 6,62∙10-34 Дж∙с – постоянная Планка; с = 3∙108 м/с – скорость света в вакууме; e = 1,6∙10-19 Кл – заряд электрона; m = 9,1∙10-31 кг – масса электрона

 







Date: 2015-05-19; view: 597; Нарушение авторских прав



mydocx.ru - 2015-2026 year. (0.966 sec.) Все материалы представленные на сайте исключительно с целью ознакомления читателями и не преследуют коммерческих целей или нарушение авторских прав - Пожаловаться на публикацию