Главная Случайная страница


Полезное:

Как сделать разговор полезным и приятным Как сделать объемную звезду своими руками Как сделать то, что делать не хочется? Как сделать погремушку Как сделать так чтобы женщины сами знакомились с вами Как сделать идею коммерческой Как сделать хорошую растяжку ног? Как сделать наш разум здоровым? Как сделать, чтобы люди обманывали меньше Вопрос 4. Как сделать так, чтобы вас уважали и ценили? Как сделать лучше себе и другим людям Как сделать свидание интересным?


Категории:

АрхитектураАстрономияБиологияГеографияГеологияИнформатикаИскусствоИсторияКулинарияКультураМаркетингМатематикаМедицинаМенеджментОхрана трудаПравоПроизводствоПсихологияРелигияСоциологияСпортТехникаФизикаФилософияХимияЭкологияЭкономикаЭлектроника






Эксплуатационные объекты, завершаемые разработкой, с продуктивностью: 1 — небольшой и средней, 2 — высокой





 

 

Большие темпы падения добычи на III стадии разработки, обусловленные очень высоким максимальным темпом раз­работки, не всегда желательны. Поэтому при проектировании разработки объектов с благоприятной геологической харак­теристикой максимальный темп добычи нефти устанавливают несколько ниже геологически возможного. Это позволяет увеличить продолжительность II стадии, сделать менее ощути­мым падение добычи на III стадии, создать благоприятные условия для проведения работ по контролю и совершенст­вованию разработки.

По небольшим залежам, особенно расположенным в пре­делах многопластового месторождения или одной площади, для которых создана единая система сбора и подготовки нефти и предусмотрен последовательный их ввод в разработ­ку, темпы разработки каждой из них могут не ограничивать­ся. При этом по группе залежей в целом будет продолжи­тельное время обеспечиваться устойчивый уровень добычи. По малопродуктивным залежам существенных ограничений максимальных темпов разработки, и без того невысоких, обычно не вводят.

В условиях вытеснения нефти водой при должном совер­шенствовании систем разработки к концу III стадии, т.е. за основной период разработки, отбирают из объектов 75 — 90 % извлекаемых запасов нефти. Нижний предел этого ин­тервала показателен для залежей с повышенной вязкостью пластовой нефти. При малой вязкости нефти и хороших фильтрационных свойствах пород-коллекторов использова­ние запасов за основной период разработки может состав­лять 80-90%.

На IV стадии темпы разработки снижаются с 2 % до 0 (средние за стадию темпы менее 1 %). За стадию необходимо отбирать 10 — 25% извлекаемых запасов нефти. Продолжи­тельность стадии обычно велика и нередко соразмерна с продолжительностью всего основного периода.

Обводнение продукции нефтяных эксплуатационных объектов. При разработке объектов путем вытеснения нефти из пластов водой возрастает содержание воды в продукции скважин и объекта в целом.

 

Обводненность В (%) продукции, добытой за опреде­ленный период, определяется по формуле:

где — количество попутной воды, полученной за период; — количество жидкости (нефть + вода), добытой за тот лее период. На каждом объекте в процессе его разработки обвод­ненность продукции возрастает от нуля или от нескольких процентов до 95 — 99%. Однако динамика обводнения по объектам с разной геолого-промысловой характеристикой неодинакова (рис. 76).

 

Кривые для объектов с малой относительной вязкостью пластовой нефти ( до 5)* располагаются в правой части рис. 76. Из этих объектов на I стадии разработки отбирают прак­тически безводную нефть. Значительный рост обводнения продукции начинается в конце II или на III стадии. На IV ста­дии рост обводнения замедляется. В целом кривые, соответ­ствующие залежам маловязкой нефти, обычно вогнуты относительно оси "обводненность продукции", реже — близки к прямым линиям. В период высокого обводнения продукции (более 80 — 85%) из таких залежей отбирают не более 10 — 20 % извлекаемых запасов нефти. Расхождение в положении этих


кривых обусловлено различием геологических особен­ностей залежей, а также технологии их разработки. Кривые, занимающие более высокое положение, отражающее уско­ренный рост обводнения продукции, соответствуют объектам с большими неоднородностью продуктивных пластов, отно­сительными размерами водонефтяных зон, относительной вязкостью нефти (в диапазоне ее значений, соответствующем маловязким нефтям, т.е. до 5), поскольку в этих условиях усложняется процесс вытеснения нефти водой.

 

Рис. 76. Динамика обводнения продукции в процессе разработки эксплуатационных объектов с различной вязкостью пластовой нефти:

В — обводненность продукции; — начальные извлекаемые запасы нефти; II — II, III —III — границы завершения соответственно II и III стадий раз­работки; шифр кривых — значения относительной вязкости пластовой нефти

 


 

По объектам с маловязкой нефтью III стадия разработки завершается с самой различной обводненностью продукции — от 30-40 до 80%.

Кривые обводнения продукции объектов с повышенной относительной вязкостью нефти (более 5) располагаются в левой части рис. 76. На таких объектах обводнение продук­ции начинается с первых лет разработки и нарастает быстро вплоть до 80 — 85%. После этого кривые выполаживаются. В период разработки залежей при высокой обводненности (более 80 — 85 %) из недр добывается половина и более извле­каемых запасов нефти. III стадия завершается при высокой обводненности продукции (более 85 %). Кривые залежей с вязкими нефтями в отличие от кривых залежей маловязких нефтей выпуклы в сторону оси "обводненность продукции". Они располагаются довольно тесно, что указывает на прева­лирующую роль повышенной вязкости нефти, которая зату­шевывает влияние других геолого-промысловых факторов.


Следует отметить, что бесконтрольная эксплуатация сква­жин и пластов может приводить к неоправданному повыше­нию темпов роста обводнения продукции. Поэтому необхо­димо четкое выполнение соответствующей конкретным усло­виям программы работ по ограничению отборов той воды, которая не выполняет работы по вытеснению нефти из плас­тов. В то лее время проведение необоснованных мероприя­тий по ограничению отборов попутной воды (путем вывода из эксплуатации скважин с невысокой обводненностью, изо­ляции обводняющихся пластов с незакончившимся процес­сом вытеснения нефти и др.) может приводить к повы­шенным потерям нефти в недрах.

*Относительная вязкость — это отношение вязкости нефти к вязкости вытесняющей воды в пластовых условиях.

 


 

Темпы отбора жидкости. В условиях роста обводнения добываемой продукции заданная динамика добычи нефти обеспечивается лишь при достаточных темпах годовых отбо­ров жидкости , %:

(XII.5)

где темп отбора жидкости; qmax годовой отбор жидкос­ти; — начальные извлекаемые запасы нефти объекта.

Оптимальная динамика годовых отборов жидкости тесно связана с динамикой добычи нефти и обводнения продукции и, следовательно, с теми промыслово-геологическими факто­рами, которые на них влияют.

Для залежей маловязкой нефти основное значение имеет характер динамики отбора жидкости на III стадии разра­ботки. Обобщение опыта разработки таких залежей позво­ляет выделить три разновидности динамики годовых отборов жидкости в течение III стадии: а) постоянное снижение; б) сохранение годовых отборов на уровне II стадии разра­ботки; в) постепенное наращивание с превышением в конце стадии уровня, достигнутого на II стадии, в 1,5 — 2,5 раза.

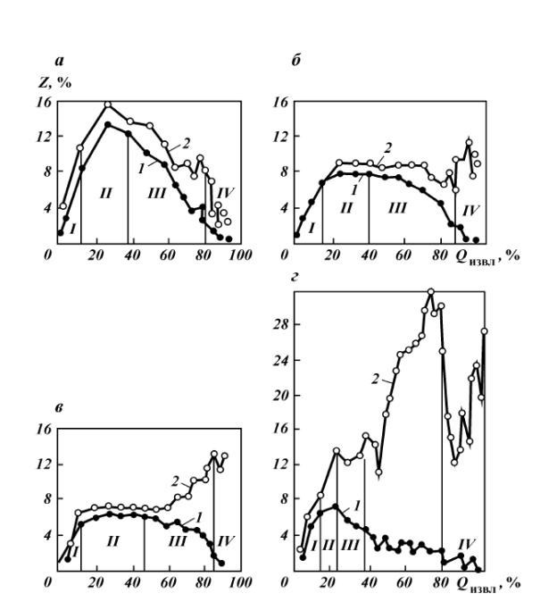
Снижение отборов жидкости на III стадии (рис. 77, а) ха­рактерно главным образом для высокопродуктивных эксплу­атационных объектов небольших размеров, которым свойст­венны высокий максимальный темп добычи нефти (8— 10 % и выше) и низкая обводненность продукции (40 — 50 %) к концу основного периода.

Сохранение на III стадии разработки постоянных отборов жидкости на уровне отборов II стадии (рис. 77, б) присуще вы­сокопродуктивным объектам значительных размеров, на кото­рых обводненность продукции к концу III стадии несколько выше — обычно составляет 50 — 70 % (в связи с большими размерами водонефтяных зон) и темпы добычи нефти на II стадии достигают 6 — 7 % начальных извлекаемых запасов.

Постепенное повышение отборов жидкости на III стадии (рис. 77,,) характерно для залежей маловязкой нефти, при­уроченных к продуктивным пластам с весьма неоднородным строением или пониженной проницаемостью пород-коллекторов, особенно при больших размерах площадей нефте­носности и водонефтяных зон. В этих условиях необходи­мость повышения отборов жидкости предопределяется относительно низкими темпами добычи нефти и жидкости на II стадии и высокой обводненностью продукции в конце III ста­дии (70 — 80 %, иногда и более).



Рис. 77. Разновидности динамики добычи нефти (1) и отбора жидкости (2) из залежей:

а— „ — залежи с различными геолого-промысловыми характеристиками. I — IV — стадии разработки; Z — темпы добычи нефти и отбора жидкости; — начальные извлекаемые запасы нефти

 

 

На залежах нефти с повышенной вязкостью (рис. 76, „) обводненность продукции уже к концу II стадии возрастает до 40 — 50%, а к концу III стадии достигает 90 — 95%. В связи с этим годовые отборы жидкости из таких залежей резко наращиваются уже с конца I стадии и к концу III стадии мо­гут превышать годовую добычу нефти на II стадии в 4 — 6 раз и более.

На IV стадии разработки темпы отбора жидкости из объ­ектов сохраняются примерно на уровне отбора в конце III стадии.

Количество проходящей через залежь воды и конечное нефтеизвлечение. Процесс вытеснения нефти водой из пласта существенно отличается от поршневого вследствие дисперги­рования нефти. В связи с этим отбираемый из залежи объем нефти вытесняется значительно большим количеством воды. Количество проходящей через залежь (промывающей пласт) воды — один из факторов, влияющих на коэффициент извле­чения нефти, причем значение этого параметра возрастает с ухудшением геолого-физических показателей объекта.

Для изучения зависимости коэффициента извлечения неф­ти от количества прошедшей через залежь (внедрившейся в залежь) воды строят график, называемый характеристикой вытеснения. На оси абсцисс графика откладывают количест­во прошедшей через залежь воды, на оси ординат — коэф­фициент извлечения нефти. Количество воды выражают че­рез количество объемов пор пласта, первоначально занятых нефтью. За величину нефтенасыщенного объема пор прини­мают объем начальных балансовых запасов нефти в пласто­вых условиях. На рис. 78 приведены характеристики вытес­нения, примерно соответствующие разновидностям динамики отбора жидкости, показанным на рис. 76. Начальные участки кривых, представленные прямолинейными отрезка­ми, соответствуют периоду безводной эксплуатации. С появ­лением воды в продукции кривые отклоняются от прямой. Видно, что с усложнением геолого-физической характерис­тики объектов количество объемов воды, внедряющихся в залежь, возрастает с 1,5 — 2 до 6 — 7 и более. Из высоко­продуктивных залежей основная часть запасов нефти извле­чена в результате прохождения первого объема воды, с внед­рением второго объема связан относительно небольшой при­рост коэффициента извлечения. Чем хуже характеристика залежей, тем более снижается эффективность внедрения пер­вого объема воды и возрастает эффективность внедрения следующих объемов. Несмотря на промывку пластов большим количеством воды, на залежах с менее благоприятной характеристикой достигается меньшее значение коэффи­циента извлечения. Если по наиболее высокопродуктивным залежам он может достигать 0,6, то на залежах маловязкой нефти в неоднородных пластах не превышает 0,5 — 0,55. При повышенной вязкости нефти внедрение в залежь 7 — 8 объе­мов воды обусловливает коэффициент извлечения нефти не больше 0,4.


 

 

Рис. 78. Характеристики вытеснения нефти водой при разработке залежей.

Залежи: а, б,, — маловязкой нефти (от а к „ геолого-промысловая харак­теристика залежи ухудшается), „ — вязкой нефти; — коэффициент извлечения нефти; VB объемы внедрившейся воды

 

 

Из изложенного видно, что для каждой залежи особеннос­ти изменения разных показателей разработки тесно связаны между собой и во многом определяются ее характеристикой.

Приведенные особенности динамики основных показа­телей разработки при вытеснении нефти из пластов водой, выявленные в результате обобщения опыта разработки, мо­гут быть использованы при обосновании возможных по­казателей разработки новых залежей, с подобным диапа­зоном значений промыслово-геологических параметров, для критической оценки проектных показателей, полученных в результате гидродинамических расчетов, при регулировании эксплуатации залежей.

Таким образом, обобщение опыта разработки залежей с названными средними диапазонами параметров пластов поз­волило подразделить их на четыре группы с разной дина­микой основных показателей разработки из-за различий в промыслово-геологической характеристике и в применяемых системах разработки. Выделение этих групп предопределяет начало составления схемы промыслово-геологического группирования нефтяных залежей (см. главу XVIII).

Очевидно, что по залежам с низкой продуктивностью, вводимым в последние годы в разработку, динамика показателей будет иной — максимальные темпы добычи нефти будут ниже, обводненность будет нарастать интенсивнее, меньшими будут коэффициенты нефтеизвлечения. Тенденции динамики показателей разработки по таким залежам пред­стоит определять, обобщая опыт их продолжительной разра­ботки.

На газовых эксплуатационных объектах весь период раз­работки одни специалисты подразделяют на три стадии, дру­гие — на четыре. В первом случае III стадия отвечает III + IV стадиям разработки нефтяных объектов. Исходя из целесо­образности унификации понятий, следует период разработки газовых залежей, так же как и нефтяных, делить на четыре стадии.

I стадия — период бурения первой очереди добывающих скважин и наращивания добычи газа.

II стадия — период относительно постоянной высокой добычи, поддерживаемой дополнительным бурением скважин и при возможности — увеличением депрессии в скважинах.

III стадия — период интенсивного падения добычи.

IV стадия — завершающий период разработки, характеризующийся низкими отборами газа.

Обобщение опыта разработки газовых залежей, выполнен­ное А.Л. Козловым, П.Г. Шмыглей, М.Л. Фишем, И.Л. Леонтье­вым, Е.Н. Храменковым и другими исследователями, свиде­тельствует о том, что для небольших залежей с запасами до 3 млрд. м3 основные показатели динамики добычи газа (продолжительность стадий, степень использования запасов за стадию и др.) изменяются в широком диапазоне значений. Это обусловлено различиями в их продуктивности, в количе­стве добывающих скважин, в темпах освоения залежей. С увеличением размеров залежей диапазон значений показате­лей сужается, особенно для крупных по запасам залежей, служащих источниками снабжения газом удаленных потреби­телей, заинтересованных в продолжительных устойчивых по­ставках газа. Задачи газоснабжения обусловливают необходи­мость продления II стадии разработки и, следовательно, не­которого ограничения темпов разработки в этом периоде.

Продолжительность I стадии на залежах с запасами газа до 3 млрд. м3 часто не превышает одного года, иногда эта стадия совсем отсутствует, но нередко она продолжается 10 лет и более. На объектах с запасами 20 — 50 млрд. м3 она длится от 2 до 10 лет, а на более крупных объектах — от 4 до 10 лет.

Продолжительность II стадии по залежам с запасами до 50 млрд. м3 в большинстве случаев находится в пределах от одного года до 10 лет, по более крупным залежам — от 4 до 10 лет. Среднегодовые темпы добычи на II стадии на залежах с запасами до 3 млрд. м3 изменяются в пределах от 5 до 30 %, с запасами 3 — 50 млрд. м3 обычно от 5 до 13%, на более крупных залежах примерно от 5 до 8 %.

К концу II стадии, т.е. к началу интенсивного падения до­бычи, из большинства объектов отбирается 40 — 70 % балан­совых запасов газа. Вполне реально на всех крупных залежах ставить задачу отбора к концу этого периода 60 — 70 % балан­совых запасов. Это существенно отличает динамику добычи газа от динамики добычи нефти. Как уже отмечалось, из нефтяных эксплуатационных объектов к началу падения добычи отбирается 25 — 50% извлекаемых запасов, что соответ­ствует всего 15 — 35% балансовых запасов. Таким образом, на газовых объектах к концу II стадии достигается намного бо­лее высокое текущее газоизвлечение.

На III стадии из газовых объектов отбирают 20 — 30 % за­пасов газа. Количество действующих скважин на этой стадии остается неизменным (при газовом режиме) или уменьшается в связи с постепенным прекращением эксплуатации обвод­ненных скважин (при упруговодонапорном режиме). Про­должительность III стадии и соответственно скорость падения добычи газа в этот период, как и на нефтяных объектах, оп­ределяются характером динамики добычи газа на первых двух стадиях.

IV стадия, завершаемая при приближении к минимальной рентабельной добыче из объекта, так же, как и на нефтяных объектах, по продолжительности соразмерна с первыми тре­мя стадиями, вместе взятыми.

На газоконденсатных залежах, разрабатываемых с ис­пользованием природных видов энергии, выделяют те же ста­дии разработки, что и на газовых. При разработке газокон­денсатных месторождений с реализацией сайклинг-процесса часть газа, закачиваемого после выделения из него конденса­та обратно в пласт, в товарной продукции не учитывается. Вследствие этого динамика годовой добычи газа носит иной характер.

Вопросы поиска закономерностей в динамике показате­лей, характеризующих отборы попутной воды, для газовых залежей менее актуальны, поскольку при газовом режиме поступление воды в залежь и в скважины отсутствует или невелико, а при водонапорном режиме отбор попутной воды ограничивают путем изоляционных работ и выключения скважин, дающих воду.

 







Date: 2015-04-23; view: 1280; Нарушение авторских прав



mydocx.ru - 2015-2026 year. (0.377 sec.) Все материалы представленные на сайте исключительно с целью ознакомления читателями и не преследуют коммерческих целей или нарушение авторских прав - Пожаловаться на публикацию