Главная Случайная страница


Полезное:

Как сделать разговор полезным и приятным Как сделать объемную звезду своими руками Как сделать то, что делать не хочется? Как сделать погремушку Как сделать так чтобы женщины сами знакомились с вами Как сделать идею коммерческой Как сделать хорошую растяжку ног? Как сделать наш разум здоровым? Как сделать, чтобы люди обманывали меньше Вопрос 4. Как сделать так, чтобы вас уважали и ценили? Как сделать лучше себе и другим людям Как сделать свидание интересным?


Категории:

АрхитектураАстрономияБиологияГеографияГеологияИнформатикаИскусствоИсторияКулинарияКультураМаркетингМатематикаМедицинаМенеджментОхрана трудаПравоПроизводствоПсихологияРелигияСоциологияСпортТехникаФизикаФилософияХимияЭкологияЭкономикаЭлектроника






Основы квантовой теории переходов





Вероятностью перехода называется вероятность квантовой системы перейти из одного стационарного состояния в другое стационарное состояние под воздействием какого либо возмущения.
В теории возмущений вероятность перехода даётся формулой:
где i и f - начальное и конечное состояния системы,
- матричный элемент оператора возмущения ,
- разность энергий двух стационарных состояний .
Вышеуказанная формула справедлива в первом порядке теории возмущений, т.е. когда . Предполагается что возмущение затухает при . Для определения вероятности перехода на конечный момент времени надо положить верхний предел интеграла равным , что эквивалентно выключению взаимодействия в этот момент времени.
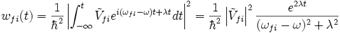
Важным случаем является переход под взаимодействием периодического возмущения частоты : . Считая включение потенциала экспоненциальным , находим:

Откуда в адиабатическом пределе для вероятности перехода в единицу времени получаем:

Данный результат тесно связан с золотым правилом Ферми, которое получается суммированием по конечным состояниям , (полагая также ).







Date: 2015-05-19; view: 717; Нарушение авторских прав



mydocx.ru - 2015-2026 year. (5.051 sec.) Все материалы представленные на сайте исключительно с целью ознакомления читателями и не преследуют коммерческих целей или нарушение авторских прав - Пожаловаться на публикацию