Главная Случайная страница


Полезное:

Как сделать разговор полезным и приятным Как сделать объемную звезду своими руками Как сделать то, что делать не хочется? Как сделать погремушку Как сделать так чтобы женщины сами знакомились с вами Как сделать идею коммерческой Как сделать хорошую растяжку ног? Как сделать наш разум здоровым? Как сделать, чтобы люди обманывали меньше Вопрос 4. Как сделать так, чтобы вас уважали и ценили? Как сделать лучше себе и другим людям Как сделать свидание интересным?


Категории:

АрхитектураАстрономияБиологияГеографияГеологияИнформатикаИскусствоИсторияКулинарияКультураМаркетингМатематикаМедицинаМенеджментОхрана трудаПравоПроизводствоПсихологияРелигияСоциологияСпортТехникаФизикаФилософияХимияЭкологияЭкономикаЭлектроника






Задачи





1. Электромагнитная волна с частотой γ = 5 МГц переходит из немагнитной среды с диэлектрической проницаемостью ε = 2 в вакуум. Определить приращение е её длины волны.

2. Плоская электромагнитная волна распространяется в однородной изотропной среде с ε = 2 и μ = 1. Амплитуда напряжённости электромагнитной волны E0 = 12 В/м. Определить фазовую скорость волны, амплитуду напряжённости магнитного поля волны.

3. Скорость распространения электромагнитной волны в некоторой среде составляет 250 Мм / с. Определить длину электромагнитной волны в среде, если её частота в вакууме составляет 1 МГц.

4. Радиолокатор обнаружил в море подводную лодку, отражённый сигнал от которой до него за 36 мкс. Учитывая, что диэлектрическая проницаемость воды 81, определить расстояние от локатора до подводной лодки.

5. Определить длину электромагнитной волны в вакууме, на которую настроен колебательный контур, если максимальный заряд на конденсаторе 50 нКл, а максимальная сила тока в контуре 1,5 А. Активным сопротивлением контура пренебречь.

6. В вакууме вдоль оси расположена плоская электромагнитная волна. Амплитуда напряжённости электромагнитного поля волны 10 В / м. Определить амплитуду напряжённости электромагнитного поля волны.

 

 

2. Сложение электромагнитных волн

Геометрическая длина пути – расстояние пройденное волной в среде.
Оптическая длина пути – расстояние пройденное волной в среде, умноженное на показатель преломления этой среды.

Если в среде имеются несколько источников волн, то расстояния, проходимые излучениями от разных источников до одной и той же точки среды могут быть различны.

Геометрической разностью хода (∆r) называется разность расстояний, проходимых излучениями от разных источников до одной и той же точки среды.

Оптической разностью хода (∆ = n*∆r) называет разность оптических расстояний, проходимых излучениями до данной точки пространства.

Источники (излучения) называются когерентными, если частоты колебаний их равны, а разность начальных фаз с течением времени постоянна.

При наложении двух или более когерентных волн происходит перераспределение энергии в пространстве.

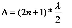
В тех точках пространстве, где две когерентные волны приходят в противофазах (разность фаз равна нечётному числу π), они взаимно гасят друг друга и освещённость равна 0. , где n = 0.1,2,….

В этом случае оптическая разность хода равна нечётному числу полуволн или полу целому числу длин волн. .

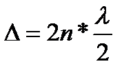
В тех точках пространстве, где две когерентные волны приходят в одинаковых фазах (разность фаз равна чётному числу π), энергия будет максимальная. .

В этом случае оптическая разность хода равна чётному числу полуволн или целому числу длин волн. .

Раз волны когерентны, то результат их сложения в каждой точке пространства будет постоянным.







Date: 2015-05-18; view: 959; Нарушение авторских прав



mydocx.ru - 2015-2026 year. (0.666 sec.) Все материалы представленные на сайте исключительно с целью ознакомления читателями и не преследуют коммерческих целей или нарушение авторских прав - Пожаловаться на публикацию