Главная Случайная страница


Полезное:

Как сделать разговор полезным и приятным Как сделать объемную звезду своими руками Как сделать то, что делать не хочется? Как сделать погремушку Как сделать так чтобы женщины сами знакомились с вами Как сделать идею коммерческой Как сделать хорошую растяжку ног? Как сделать наш разум здоровым? Как сделать, чтобы люди обманывали меньше Вопрос 4. Как сделать так, чтобы вас уважали и ценили? Как сделать лучше себе и другим людям Как сделать свидание интересным?


Категории:

АрхитектураАстрономияБиологияГеографияГеологияИнформатикаИскусствоИсторияКулинарияКультураМаркетингМатематикаМедицинаМенеджментОхрана трудаПравоПроизводствоПсихологияРелигияСоциологияСпортТехникаФизикаФилософияХимияЭкологияЭкономикаЭлектроника






Цель работы. Отчет по лабораторной работе №5





Отчет по лабораторной работе №5

 

по дисциплине «Фотометрия»

 

Измерение освещённости

 

 

Автор отчета: Э.Р. Сюбкаева

 

Обозначение отчета ЛР-02069964-210102-05-11

 

Преподаватель: С. А. Амелькина

 

 

Саранск 2011

Цель работы

Цель работы- измерение освещенности с помощью фотоэлектрического люксметра.

 

Изм.
Лист
№ докум.
Подпись
Дата
Лист
 
ЛР-02069964-210102-05-11  
Разраб.
Сюбкаева
Провер.
Амелькина
Реценз.
 
Н. Контр.
 
Утверд.
 
  Измерение освещённости
Лит.
Листов
 
СИС, 301 гр.
2 Программа и методика эксперимента

Освещенность - поверхностная плотность падающего светового пото­ка. Численно она равна отношению светового потока к площади повер­хности, на которую он падает и по которой равномерно распределяется

 

(1)

 

Освещенность (рисунок 1), создаваемая точечным источником может быть выражена через силу света:

(2)

где Јα- сила света источника по направлению к освещаемой поверхности(кд);

l - расстояние от источника(м);

i - угол между направлением силы света и нормалью к освещаемой по­верхности.

Если известна функция спектральной плотности потока облучения e(λ) то освещенность определяется следующим выражением:

 

(3)

где V(λ) - относительная видность излучения (спектральная свето­вая

эффективность).

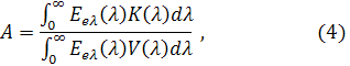
Измерение освещенности объективными методами можно производить при наличии приемника с относительной спектральной чувствительностью К(λ), отличающейся от V(λ). Возмож­ность таких измерений объясняется неизменной величиной актиничности излучения (4)

 

(4)

Изм.
Лист
№ докум.
Подпись
Дата
Лист
 
ЛР-02069964-210102-05-11  
Эта постоянная величина (4) учитывается при градуировке прибора, входит в значение константы С, постоянной для данного измеритель­ного прибора. При измерении объективным методом других излучений, спектральная плотность потока облучения которых Еλ(λ) на от Ееλ(λ), необходимо учитывать поправочный коэффициент относительную актиничность излучения.

 

(5)

 

Величина α будет постоянной для измерений излучения, характери­зуемого спектральной плотностью потока облучения Еλ (λ).

Фотометрические приборы, предназначенные для измерения освещен­ности в осветительных установках, носят название люксметры. Они делятся на зрительные и фотоэлектрические. Зрительные находят все меньшее применение, уступая фотоэлектрическим. Преимущество последних заключается в быстроте и точности измерений. Простейший фотоэлектрический люксметр представляет собой селеновый фотоэлемент при последовательном включении с гальвано­метром малого

 

внутреннего сопротивления и чувствительностью 106 А/дел.

Фотоэлектрические люксметры с селеновыми фотоэлементами будут давать правильные значения только при освещении источниками света с таким спектральным составом, при котором была произведена их пред­варительная градуировка.

Чаще всего градуировка фотоэлектрического люксметра производится по источнику белого света А, спектр которого близок к спектру излучения стандартных ламп накаливания мощностью 200 - 300 Вт при номинальном напряжении.

Для измерения освещенности от источников света различных спект­ральных составов излучения селеновый фотоэлемент используется с корригирующим светофильтром, опытным или расчетным путем определяет­ся поправочный коэффициент (относительная актиничность) для перехода измерений

Изм.
Лист
№ докум.
Подпись
Дата
Лист
 
ЛР-02069964-210102-05-11  
освещенности от ламп накаливания к тем же пара­метрам люминесцентных источников света или дневного освещения.

Установка состоит из фотометрической скамьи, фотометрической головки, фотоэлектрического люксметра, эталонных, люминесцентных источников света. Электрические режимы источников света поддержи­вается на неизменных заданных уровнях, и контролируются в моменты выполнения измерений вольтметрами класса точности не ниже 0,5.

 







Date: 2015-05-18; view: 949; Нарушение авторских прав



mydocx.ru - 2015-2026 year. (0.567 sec.) Все материалы представленные на сайте исключительно с целью ознакомления читателями и не преследуют коммерческих целей или нарушение авторских прав - Пожаловаться на публикацию