Главная Случайная страница


Полезное:

Как сделать разговор полезным и приятным Как сделать объемную звезду своими руками Как сделать то, что делать не хочется? Как сделать погремушку Как сделать так чтобы женщины сами знакомились с вами Как сделать идею коммерческой Как сделать хорошую растяжку ног? Как сделать наш разум здоровым? Как сделать, чтобы люди обманывали меньше Вопрос 4. Как сделать так, чтобы вас уважали и ценили? Как сделать лучше себе и другим людям Как сделать свидание интересным?


Категории:

АрхитектураАстрономияБиологияГеографияГеологияИнформатикаИскусствоИсторияКулинарияКультураМаркетингМатематикаМедицинаМенеджментОхрана трудаПравоПроизводствоПсихологияРелигияСоциологияСпортТехникаФизикаФилософияХимияЭкологияЭкономикаЭлектроника






Минимальная энергия квантового гармонического осциллятора





 

Еще одной особенностью спектра энергии квантового осциллятора является конечная (не равная нулю) минимально допустимая энергия:

 

 

соответствующая значению квантового числа

В реальных квантовых системах, например, кристаллах, эти колебания сохраняются, как показывает опыт, даже при температурах, близких к абсолютному нулю, когда, казалось бы, все тепловое движение должно прекратиться.

Нулевые колебания играют в физике весьма важную роль, в частности они обусловливают отсутствие кристаллизации жидкого гелия при нормальном давлении даже при абсолютном нуле температур. Велика роль нулевых колебаний и в объяснении природы сил молекулярных взаимодействий, физических особенностей поверхностного натяжения, адсорбции и других молекулярных явлений. На эксперименте наличие нулевых колебаний наблюдается, в частности, в опытах по рассеянию света кристаллами при низких температурах.

Покажем, что значение нулевой энергии (34) есть как раз то минимальное значение энергии осциллятора, которое согласуется с требованиями соотношения неопределенностей.

Поместим начало координат в точку, являющуюся положением равновесия гармонического осциллятора, совершающего колебания по закону

 

 

Тогда неопределенность координаты принимает вид

 

 

где амплитуда колебаний, которая определяется следующим выражением

 

 

Амплитуда колебаний связана с энергией E соотношением

 

следовательно

 

 

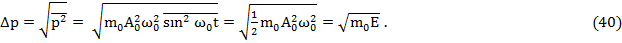
Аналогично, для неопределенности импульса имеем

 

 

Подставляя значения (37) и (39) в соотношение неопределенностей

 

получаем следующее условие

 

Действительно, минимальное значение энергии гармонического осциллятора есть

 








Date: 2015-05-18; view: 751; Нарушение авторских прав



mydocx.ru - 2015-2026 year. (2.262 sec.) Все материалы представленные на сайте исключительно с целью ознакомления читателями и не преследуют коммерческих целей или нарушение авторских прав - Пожаловаться на публикацию