Главная Случайная страница


Полезное:

Как сделать разговор полезным и приятным Как сделать объемную звезду своими руками Как сделать то, что делать не хочется? Как сделать погремушку Как сделать так чтобы женщины сами знакомились с вами Как сделать идею коммерческой Как сделать хорошую растяжку ног? Как сделать наш разум здоровым? Как сделать, чтобы люди обманывали меньше Вопрос 4. Как сделать так, чтобы вас уважали и ценили? Как сделать лучше себе и другим людям Как сделать свидание интересным?


Категории:

АрхитектураАстрономияБиологияГеографияГеологияИнформатикаИскусствоИсторияКулинарияКультураМаркетингМатематикаМедицинаМенеджментОхрана трудаПравоПроизводствоПсихологияРелигияСоциологияСпортТехникаФизикаФилософияХимияЭкологияЭкономикаЭлектроника






Исследование полупроводникового резистора





Студент(ка)___________

Группа_______________

Преподаватель________

Дата_________________

На внутренних страницах:

1. Расчетная формула для измеряемой величины.

 

где k = 1.3810-23Дж/К - постоянная Больцмана;

R 1, R 2- сопротивления резистора при температурах T 1и T 2.

2. Средства измерений и их характеристики.

Наименование средства измерения Предел измерений Цена деления шкалы Предел основной погрешности или класс точности
       

 

3. Задача 1. Снятие вольтамперной характеристики полупроводникового резистора.

Результаты измерений

Данные к построению вольтамперной харктеристики

Таблица П. 1.1.

Напряжение U, В                    
Сила тока I, мА                    

4. Задача 2. Исследование температурной зависимости электрического сопротивления полупроводникового резистора и определение ширины запрещенной зоны в собственном полупроводнике

Зависимость сопротивления полупроводникового резистора от температуры

Таблица П.1.2

 

t, oC T, K 1000/ T, K-1 R, Ом ln R
         

 

5. Расчет ширины запрещенной зоны в исследуемом полупроводнике проводят по графику ln R = f (1/ T)

Eg = эВ.

6. Оценка погрешностей

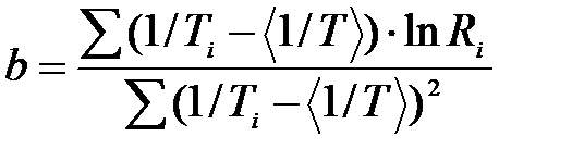
6.1. Расчет среднеквадратичного отклонения производят методом наименьших квадратов

 

 

Таблица П.1.3

 

R, Ом T, K 1/ T, K-1 ln R 2 lnRi d i= =
               

=,

=

=

=

S<Eg> = Δ b = эВ

6.2. Граница погрешности

Eg = tS<Eg> =...эВ.

7. Окончательный результат:

Eg = < Eg > Eg = (......) эВ, P = 0.95.

Выводы (проанализировать полученную вольтамперную характеристику полупроводникового резистора, сравнить ширину запрещенной зоны с табличным значением).

 

 

 

2. ИЗУЧЕНИЕ СВОЙСТВ p-n ПЕРЕХОДА И ОПРЕДЕЛЕНИЕ ШИРИНЫ ЗАПРЕЩЕННОЙ ЗОНЫ ПОЛУПРОВОДНИКА.

(Работа № 36)







Date: 2015-05-18; view: 960; Нарушение авторских прав



mydocx.ru - 2015-2026 year. (0.608 sec.) Все материалы представленные на сайте исключительно с целью ознакомления читателями и не преследуют коммерческих целей или нарушение авторских прав - Пожаловаться на публикацию