Главная Случайная страница


Полезное:

Как сделать разговор полезным и приятным Как сделать объемную звезду своими руками Как сделать то, что делать не хочется? Как сделать погремушку Как сделать так чтобы женщины сами знакомились с вами Как сделать идею коммерческой Как сделать хорошую растяжку ног? Как сделать наш разум здоровым? Как сделать, чтобы люди обманывали меньше Вопрос 4. Как сделать так, чтобы вас уважали и ценили? Как сделать лучше себе и другим людям Как сделать свидание интересным?


Категории:

АрхитектураАстрономияБиологияГеографияГеологияИнформатикаИскусствоИсторияКулинарияКультураМаркетингМатематикаМедицинаМенеджментОхрана трудаПравоПроизводствоПсихологияРелигияСоциологияСпортТехникаФизикаФилософияХимияЭкологияЭкономикаЭлектроника






Зеркала и линзы





 

План:

1. Плоские зеркала.

2. Сферические зеркала

3. Построение изображений. Линзы.

4. Формула линзы.

Темы: Фотоаппарат

Микроскоп

Телескоп

Глаз как оптический прибор

Литература: Ландсберг

Королёв

Корсунский

Гершензон

Годжаев «Оптика»

 

1. Если лучи, падающие на границу раздела двух сред, параллельным пучком, после отражений остаются параллельными, то такое отражение называется зеркальным, а сама поверхность – плоским зеркалом.

Свойства плоского зеркала:

- если его повернуть на некоторый угол, то отраженный луч повернется на угол в два раза больший;

- если зеркала расположены по отношению друг к другу под углом , то если в эту систему направить луч, то он отразиться так, что поменяет направление на противоположное.

Построение в плоском зеркале основано на использовании отражения света.

Все лучи, исходящие из какой-либо точки

предмета после отражения от зеркала пойдут

так, что их продолжения будут пересекаться

за зеркалом в одной и той же точке .

- мнимое изображение.

 

В результате изображение: прямое, мнимое, равно по величине самому предмету, расположенному симметрично с ним по отношению к плоскости зеркала.

 

2. Если зеркально отражающая поверхность представляет собой часть сферы, то зеркало называется сферическим.

Основные характеристики:

Центр сферической поверхности, т.С, называется

оптическим центром зеркала.

Вершина шарового сегмента, т.О, называется

полюсом зеркала.

Прямая проходящая через оптический центр и полюс,

называется главной оптической осью зеркала.

 

 

Любая прямая, проходящая через оптический центр зеркала называется побочной оптической осью.

Различают два типа сферических зеркал: вогнутые и выпуклые.

 

 

 

Если на вогнутое зеркало падает пучок параллельных лучей, то после отражения от зеркала они пересекаются в одной точке – фокусе зеркала.

Фокус , лежащий на главной оптической оси, называется главным фокусом зеркала.

От выпуклого зеркала параллельный пучок

лучей отражается так, что продолжения

отраженных лучей за зеркало пересекаются

в одной точке - мнимом фокусе.

вогнутое

выпуклое

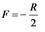
Фокусное расстояние = половине радиуса кривизны.

- оптическая сила зеркала – величина, обратная фокусному расстоянию.

 

Построение в сферических зеркалах.

 

Удобно использовать 2 луча из трех стандартных:

а) луч, падающий на зеркало параллельной оптической оси; после отражения проходит через фокус.

б) луч, проходящий через фокус, после отражения идет параллельно оптической оси.

в) луч, проходящий через оптический центр зеркала (центр сферы) после отражения идет по тому же направлению назад.

 


мнимое, прямое уменьшенное мнимое, прямое, увеличенное

 


действит, перевернутое увеличенное.

3. Линзы

Определение: Прозрачное тело, ограниченное сферическими поверхностями, называется линзой.

Виды:

- двояко-выпуклая (ограниченная двумя выпуклыми сферическими поверхностями)

- плоско-выпуклая

-вогнуто-выпуклая

 

Эти линзы посередине толще, чем у краев называются выпуклыми. Линзы, которые посередине тоньше, чем у краев называются вогнутыми.

- двояковогнутая

- плосковогнутая

- выпукло – вогнутая.

Будем рассматривать наиболее простую линзу, у которой толщина пренебрежимо мала по сравнению с радиусом поверхностей. Она называется тонкой.

 


Прямая, проходящая через центры и сферических поверхностей, ограничивающих линзу называется оптической осью.

Точка , лежащая на главной оптической оси, проходя через которую луч не преломляется, называется оптическим центром.

Любая прямая, проход через оптический центр, называется побочной оптической осью.

Линзы, превращающие падающий на них параллельный пучок лучей в пучок сходящихся лучей, называется собирающими (выпуклые ).

Если на линзу, направить параллельный пучок света, то после прохождения линзы, они соберутся в одной точке . – главный фокус линзы.

 

Он находится на одинаковом расстоянии по обе

стороны от оптического центра т.О, т.е. у линзы


2 фокуса.

 

 

Расстояние от оптического центра до фокуса называется фокусным расстоянием.

Плоскость, проходящая через фокус, перпендикулярна к главной оптической оси, называется фокальной плоскостью.

Линзы, превращающие падающий на них параллельный пучок лучей в пучок расходящихся лучей, называется рассеивающим.

 

Для собирающей линзы главный фокус

является для рассеивающей

действительным мнимым.

 

 

Построение в линзах:

Будем использовать следующие лучи:

1. Луч параллельный оптической оси, после преломления проходит через фокус.

2. Луч, проходящий через фокус после преломления идет параллельно главной оптической оси.

3. Луч, проходящий через оптический центр линзы, после преломления проходит по тому же направлению.

- расстояние от предмета до линзы.

 


действит – перевернутое увеличенное

 

 

 


мнимое прямое увеличенное

 

 


действительное перевернутое уменьшенное

 

 

 


мнимое, прямое уменьшенное

 

Построение изображения точки, лежащей на главной оптической оси.

 

 


4. Выведем формулу, связывающую расстояние от предмета до линзы , расстояние от изображения до линзы обозначается . Фокусное расстояние .

 


оптическая сила линзы характеризует преломляющую способность линзы.

диоптриях (дптр).

меньше (чем ближе фокус к линзе) тем больше – лучи преломляются сильнее.

Изображение обычно отличается своими размерами от предмета. Это различие характеризуют увеличением.

Определение: Линейным увеличением называют отношение линейного размера изображения к линейному размеру предмета.

 

глаз фотоаппарат микроскоп телескоп

 

3.Дополнение:

Построение точки, лежащей на ГОО

 








Date: 2015-05-18; view: 670; Нарушение авторских прав



mydocx.ru - 2015-2026 year. (0.372 sec.) Все материалы представленные на сайте исключительно с целью ознакомления читателями и не преследуют коммерческих целей или нарушение авторских прав - Пожаловаться на публикацию