Главная Случайная страница


Полезное:

Как сделать разговор полезным и приятным Как сделать объемную звезду своими руками Как сделать то, что делать не хочется? Как сделать погремушку Как сделать так чтобы женщины сами знакомились с вами Как сделать идею коммерческой Как сделать хорошую растяжку ног? Как сделать наш разум здоровым? Как сделать, чтобы люди обманывали меньше Вопрос 4. Как сделать так, чтобы вас уважали и ценили? Как сделать лучше себе и другим людям Как сделать свидание интересным?


Категории:

АрхитектураАстрономияБиологияГеографияГеологияИнформатикаИскусствоИсторияКулинарияКультураМаркетингМатематикаМедицинаМенеджментОхрана трудаПравоПроизводствоПсихологияРелигияСоциологияСпортТехникаФизикаФилософияХимияЭкологияЭкономикаЭлектроника






Статистика фермионов. Распределение Ферми-Дирака





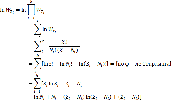
Фермионы подчиняются принципу Паули. В одной ячейке Больцмана может располагаться либо1, либо 0 частицы, что даёт число различных способов расположения:

Термодинамическая вероятность всей системы:

Используя метод неопределенных множителей Лагранжа, учитывая, что

dN=

dE=

d( dN+ dE=0

Полученный ряд обращается в 0 тогда и только тогда, когда все его коэффициенты равны 0.

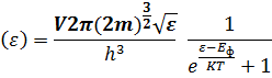
РАСПРЕДЕЛЕНИЕ ФЕРМИ- ДИРАКА ФЕРМИОНОВ ПО ЯЧЕЙКАМ СЭНЕРГИЕЙ

Если

Если

 

При абсолютном нуле Ячейки с энергией меньшей полностью заселены, а с энергией большей - полностью свободны.

энергия Ферми (Максимальная энергия фермионов при абсолютном нуле)

При Т . Чтобы получить f(

Поверхность Ферми-поверхность в фазовом пространстве, на которой энергии фермионов совпадают с энергией ферми.

Сравним распределение Максвела-Больцмана по энергиям для классических частиц, Бозе-Эйнштейна, для бозонов и Ферми-Дирака, для фермионов.

 

При все 3 статистики совпадают. Для больших энергий квантовые свойства микрочастиц перестают себя проявлять.







Date: 2015-05-17; view: 790; Нарушение авторских прав



mydocx.ru - 2015-2026 year. (0.674 sec.) Все материалы представленные на сайте исключительно с целью ознакомления читателями и не преследуют коммерческих целей или нарушение авторских прав - Пожаловаться на публикацию