Главная Случайная страница


Полезное:

Как сделать разговор полезным и приятным Как сделать объемную звезду своими руками Как сделать то, что делать не хочется? Как сделать погремушку Как сделать так чтобы женщины сами знакомились с вами Как сделать идею коммерческой Как сделать хорошую растяжку ног? Как сделать наш разум здоровым? Как сделать, чтобы люди обманывали меньше Вопрос 4. Как сделать так, чтобы вас уважали и ценили? Как сделать лучше себе и другим людям Как сделать свидание интересным?


Категории:

АрхитектураАстрономияБиологияГеографияГеологияИнформатикаИскусствоИсторияКулинарияКультураМаркетингМатематикаМедицинаМенеджментОхрана трудаПравоПроизводствоПсихологияРелигияСоциологияСпортТехникаФизикаФилософияХимияЭкологияЭкономикаЭлектроника






Статистика бозонов. Распределение Ферми-Эйнштейна





f(

Термодинамическая вероятность такого состояния будет определяться числом способов задания

разместить любое число частиц: от 0 до

:: - .. -   :: -

 

Тогда частиц и перегородок образуют множество из элементов.

Так как в любой ячейке может быть любое число частиц, можно менять частицы и перегородки местами. Этих перестановок будет

Не все перестановки будут давать различное состояние. Перестановки только частиц не изменят микросистемы:

Аналогично, перестановки только перегородок не меняют систему:

Всего перестановок меняющих систему:

Равновесному состоянию соответствует max max

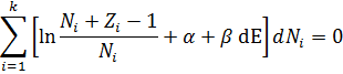
d()=0

Переходя к дифференциалу учтем, что переменной величиной будет только .

d(

d(

dN=

dE=

d( dN+ dE=0

Полученный ряд обращается в 0 тогда и только тогда, когда все его коэффициенты равны 0.

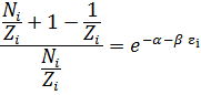
Распределение Бозе-Эйнштейна

Учитывая распределение числа состояний, получим распределение Бозе-Эйнштейна по энергиям:

(Если спин отличен от 0)

(если спин равен 0)

 







Date: 2015-05-17; view: 610; Нарушение авторских прав



mydocx.ru - 2015-2026 year. (1.852 sec.) Все материалы представленные на сайте исключительно с целью ознакомления читателями и не преследуют коммерческих целей или нарушение авторских прав - Пожаловаться на публикацию