Главная
Случайная страница
Полезное:
Как сделать разговор полезным и приятным
Как сделать объемную звезду своими руками
Как сделать то, что делать не хочется?
Как сделать погремушку
Как сделать так чтобы женщины сами знакомились с вами
Как сделать идею коммерческой
Как сделать хорошую растяжку ног?
Как сделать наш разум здоровым?
Как сделать, чтобы люди обманывали меньше
Вопрос 4. Как сделать так, чтобы вас уважали и ценили?
Как сделать лучше себе и другим людям
Как сделать свидание интересным?
Категории:
АрхитектураАстрономияБиологияГеографияГеологияИнформатикаИскусствоИсторияКулинарияКультураМаркетингМатематикаМедицинаМенеджментОхрана трудаПравоПроизводствоПсихологияРелигияСоциологияСпортТехникаФизикаФилософияХимияЭкологияЭкономикаЭлектроника
|
Расчет параметров проходок ведущей землеройной машины
В данном случае у нас не глубокие отдельные котлованы, грунт II-IV групп, разработка ведется с погрузкой грунта на транспортное средство. Исходя из этого, выбираем экскаватор, оборудованный обратной лопатой ЭО-4321Ас вместимость ковша 0,8 м³.
Технические характеристики экскаватора
| Наименование показателя
| Ед.изм
| Знач.
| | Вместимость ковша q
| м3
| 0,8
| | Группы разрабатываемого грунта
|
| 1-4
| | Глубина копания Hк
| м
| 5,5
| | Радиус копания Rк
| м
|
| | Расстояние от оси стрелы до оси вращения r, м
| м
| 0,52
| | Высота оси пяты стрелы hш, м
| м
| 2,05
| | Расстояние от оси вращения до опоры l0, м
| м
| 1,45
| | Минимальное расстояние от откоса до опоры ln, м
| м
|
| | Минимальная величина шага экскаватора Ln min, м
| м
| 1,4
|
Определение параметров экскаватора
Рабочий радиус копания, м.
= 0,9·8,7 = 7,83 м
0,9 – коэффициент использования технических характеристик экскаватора/
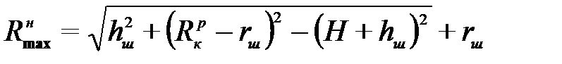
Максимальный радиус копания по низу , м рассчитывается по следующим зависимостям:
= м
= м
=1+1,45+3,1∙0,5 = 4,0 м
= 4,0 – 3,1·0,5 = 2,45 м
Шаг перемещения, м
= 4,0 – 2,45 = 1,55м
Условие оптимальности выбора экскаватора выполняется при
;
м
Условие выполнено.
Проверка правильности выбора экскаватора по соответствию глубины котлована вместимости ковша q проводится по формуле
;

Условие выполнено
Все условия выполняются, следовательно, принимаем экскаватор ЭО-4321Ас вместимость ковша 0,8 м³.
Date: 2015-05-17; view: 808; Нарушение авторских прав | Понравилась страница? Лайкни для друзей: |
|
|