Главная Случайная страница


Полезное:

Как сделать разговор полезным и приятным Как сделать объемную звезду своими руками Как сделать то, что делать не хочется? Как сделать погремушку Как сделать так чтобы женщины сами знакомились с вами Как сделать идею коммерческой Как сделать хорошую растяжку ног? Как сделать наш разум здоровым? Как сделать, чтобы люди обманывали меньше Вопрос 4. Как сделать так, чтобы вас уважали и ценили? Как сделать лучше себе и другим людям Как сделать свидание интересным?


Категории:

АрхитектураАстрономияБиологияГеографияГеологияИнформатикаИскусствоИсторияКулинарияКультураМаркетингМатематикаМедицинаМенеджментОхрана трудаПравоПроизводствоПсихологияРелигияСоциологияСпортТехникаФизикаФилософияХимияЭкологияЭкономикаЭлектроника






Формирование фронта





 

Когда в момент времени t1 эмиттерный переход открывается, начинается процесс нарастания коллек­торного тока, сопровождающийся снижением коллекторного на­пряжения. Коллекторный ток увеличивается до момента време­ни t2, когда транзистор входит в режим насыщения. В интервале времени t1 …t2. происходит формирование фронта импульса тока. Длительность фронта tф = t1 + t2 можно определить из уравне­ния (7.6). Так как начальный объемный заряд q(0) = 0, а

 

Таким образом, и объемный заряд неосновных носителей в базе, и коллекторный ток во время формирования фронта из­меняются по экспоненциальному закону. Когда iк (t2) = Iк и заряд неосновных носителей в базе достигает значения q(t2) = tIк нас /h21э, формирование фронта заканчивается. Получим формулу для расчета длительности фронта

Из полученного соотношения следует, что увеличение базового тока включения приводит к уменьшению длительности фронта импульса коллекторного тока. Если при формировании фронта емкостный ток соизмерим с коллекторным током транзистора, то для расчета tф в формуле необходимо заменить t на tэкв

После того как транзистор войдет в режим насыщения, ток iк и напряжение uкэ перестают изменяться, но процесс накопле­ния заряда продолжается по экспоненциальному закону, однако постоянная времени здесь другая: tнас = (0,8...0,9)t.

Поскольку процесс накопления носит экспоненциальный ха­рактер, то время, в течение которого заряд неосновных носителей достигает стационарного значения, можно вычислить по форму­ле tнас = (0,8...0,9)tнас На этом процесс включения транзисторного ключа заканчи­вается.

Выключение транзисторного ключа

Когда в момент времени t3 происходит переключение входного напряжения с Uб+ на Uб- (см. рис. 7.3), начинается процесс вы­ключения транзисторного ключа. При переключении входного напряжения ток базы меняет направление и становится равным

Стадия рассасывания. В результате изменения направления базового тока начинается процесс рассасывания неосновных носителей. Несмотря на уменьшение заряда, транзистор некото­рое время находится в режиме насыщения и коллекторный ток остается равным Iк нас В момент времени t4 (см. рис. 9.5) кон­центрация неосновных носителей около коллекторного перехода уменьшается до нуля и на коллекторном переходе восстанавли­вается обратное напряжение.

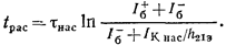
Таким образом, интервал времени tрас = t4 – t3 определяет за­держку среза импульса коллекторного тока. Время tрас, кото­рое называется временем рассасывания, можно определить из уравнения (7.6), положив

Переходя от изображения к оригиналу, получим

Этап рассасывания заканчивается, когда транзистор входит в активный режим, и если положить, что в момент времени t4 объемный заряд q(t4) = tнас Iк нас /h21э, то получим

Иногда зарядом q(t4) пренебрегают, и формула для расчета вре­мени рассасывания принимает вид

Стадия формирования спада. В дальнейшем начинается умень­шение базового и коллекторного токов, что сопровождается уве­личением напряжения uкэ и формируется спад вершины импульса коллекторного тока. Процессы, протекающие в транзисторном ключе в этой стадии, довольно сложны, и количественная оцен­ка длительности спада зависит от того, какие факторы пре­валируют. Принимая во внимание, что в момент окон­чания стадии спада q(t5) = 0, получаем

Данная формула получена при довольно грубом приближе­нии, поскольку в действительности ток базы не остается пос­тоянным и нельзя пренебрегать токами зарядки емкости нагрузки транзисторного ключа. Когда определяющим явля­ется процесс зарядки этих емкостей, то длительность спада рас­считывается по формуле








Date: 2015-05-09; view: 678; Нарушение авторских прав



mydocx.ru - 2015-2026 year. (0.506 sec.) Все материалы представленные на сайте исключительно с целью ознакомления читателями и не преследуют коммерческих целей или нарушение авторских прав - Пожаловаться на публикацию