Главная Случайная страница


Полезное:

Как сделать разговор полезным и приятным Как сделать объемную звезду своими руками Как сделать то, что делать не хочется? Как сделать погремушку Как сделать так чтобы женщины сами знакомились с вами Как сделать идею коммерческой Как сделать хорошую растяжку ног? Как сделать наш разум здоровым? Как сделать, чтобы люди обманывали меньше Вопрос 4. Как сделать так, чтобы вас уважали и ценили? Как сделать лучше себе и другим людям Как сделать свидание интересным?


Категории:

АрхитектураАстрономияБиологияГеографияГеологияИнформатикаИскусствоИсторияКулинарияКультураМаркетингМатематикаМедицинаМенеджментОхрана трудаПравоПроизводствоПсихологияРелигияСоциологияСпортТехникаФизикаФилософияХимияЭкологияЭкономикаЭлектроника






Примеры решения задач. Пример 1. Два когерентных источника S1 и S2 (рис





Пример 1. Два когерентных источника S 1 и S 2 (рис. 1) испускают монохроматический свет с длиной волны l = 600 нм. Определите, на каком расстоянии от центра экрана будет расположен первый максимум интерференционной картины, если L = 4 м, h = 1 мм?

 
 

Рис. 1

 

Из рис. 1 следует: , . Вычитая из 1-го уравнения 2-е, имеем . Из условия следует, что . Отсюда, с учетом того, что D = r 1 - r 2 :

.

Условие максимумов интерференционной картины:

, где l — длина волны в вакууме.

Приравнивая правые части последних двух уравнений, находим координату т -го максимума в виде

.

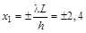
Для т = 1 (первый максимум) мм.

Присутствие знаков «+» и «-» в ответе означает, что максимумы первого порядка (как и всех других порядков) симметрично расположены относительно центра экрана по обе его стороны. Условия распределения интенсивности света на экране а) и б) отвечают разному спектральному составу излучения источников.

Пример 2. На плоскопараллельную пленку толщиной d под углом a падает монохроматический свет с длиной волны l (рис.2). Показатель преломления вещества пленки n. Найдите оптическую разность хода двух волн, отраженных от верхней и нижней поверхностей пленки. Найдите оптическую разность хода этих волн при условии, что угол a = 0°.

 

Предположим, что по обе стороны пленки находится воздух, показатель преломления которого n» 1 (рис. 2). Падающая на пленку волна частично отражается от пленки (луч 1) и частично преломляется (луч 21). В свою очередь волна, достигшая нижней поверхности, также частично отражается (луч 22). Преломленный на верхней поверхности пленки луч 23 будет интерферировать с лучом 1. Результат интерференции наблюдается в фокальной плоскости линзы Л.

Оптическая разность хода лучей 1 и 23, достигших волновой поверхности DC, описывается выражением

D = (АВ + ВС) n – (АD + l/2),

где (AB + BC) n — оптическая длина пути луча 2, (АD + l/2) — оптическая длина пути луча 1 (здесь слагаемое l/2 учитывает потерю 1-м лучом полуволны при отражении его от оптически более плотной среды — пленки).

(AB + BC) = 2 AB; из D AFB: или .

Из D AЕB: AE = EB tgg, но EB = d, поэтому AE = d tgg и = 2 AE = 2 d tgg. Наконец, AD = cos(90° – a) = 2 d tggsina. Таким образом,

.

Умножим и разделим второе слагаемое в правой части уравнения на sing, имеем , но , поэтому . Или иначе:

; .

Если волна падает перпендикулярно поверхности пленки, то sina = 0 и .

Пример 3. Белый свет падает на дифракционную решетку перпендикулярно к ее поверхности. Чему равен период решетки d, если для того, чтобы увидеть красную линию (l1 = 700 нм) в спектре второго порядка, зрительную трубу необходимо установить под углом j1 = 30° к нормали к решетке? Определите положение максимума второго порядка для зеленой линии (l2 = 550 нм).

Условие появления красной линии в спектре второго (т = 2) порядка: d sinj1 = m l1 позволяет найти период дифракционной решетки мкм. Направление на зеленую линию в спектре второго порядка определится соотношением d sinj2 = m l2 , откуда и j2 = 23°.

Пример 4. Дифракционная решетка, на 1 мм которой нанесено 75 штрихов, освещается монохроматическим светом с длиной волны l = 500 нм (рис. 3). Дифракционная картина наблюдается с помощью зрительной трубы, отстоящей от решетки на расстояние L. Промежуток между центральной и второй светлыми полосами, измеренный вдоль плоскости PP ¢, h = 11,25 см. Определите расстояние L.

Для определения угла j обратимся к формуле, определяющей условие максимумов дифракции на решетке: d sinj = m l. Здесь d = 1/ N, m = 2. Угол j мал, так как . Для таких малых углов можно считать, что sinj» tgj.

Следовательно, tgj = m l N, но tgj = h / L (рис. 132). Тогда м.

Для определения угла j обратимся к формуле, определяющей условие максимумов дифракции на решетке: d sinj = m l. Здесь d = 1/ N, m = 2. Угол j мал, так как . Для таких малых углов можно считать, что sinj» tgj.

Следовательно, tgj = m l N, но tgj = h / L (рис. 3). Тогда м.

 

Пример 5. Определите энергию фотонов, соответствующих наиболее длинным (l1 = 750 нм) и наиболее коротким (l2 = 400 нм) волнам видимой части спектра, и энергию фотона, соответствующего рентгеновскому излучению (l3 = 10-10 м).

Используя формулу для энергии фотона , имеем Дж, Дж, Дж. Сравнивая полученные значения энергий, видим, что энергия «рентгеновского» фотона больше энергии «светового» фотона приблизительно на четыре порядка. Подобное соотношение соблюдается и для релятивистских масс этих фотонов.


 

Пример 6. Адаптированный к темноте глаз воспринимает свет с длиной волны l = 590 нм при мощности падающего на зрачок глаза светового потока Р = 3,7×10-18 Вт. Сколько фотонов п при этом ежесекундно попадает на сетчатку глаза?

Энергия светового излучения выражается формулой W = Pt. С другой стороны, W = e N, где e — энергия фотона (e = h n), N — число фотонов. Приравнивая правые части двух уравнений, выражающих энергию светового излучения, имеем: h n N = Pt, откуда .

 

Пример 7. Определите максимальную скорость фотоэлектронов, вылетевших из цинкового катода с А = 6,4×10-19 Дж при освещении его ультрафиолетовым светом с длиной волны l = 300 нм. Определите, какое задерживающее напряжение U з необходимо приложить к электродам вакуумной трубки, чтобы прекратить фототок. Определите красную границу фотоэффекта.

Уравнение Эйнштейна с учетом того, что n = с /l, позволяет найти максимальную кинетическую энергию фотоэлектрона: , откуда v max = = = 2,2×105 м/с. Красная граница внешнего фотоэффекта определяется соотношением n0 = А / h = 9,7×1014 Гц. Граничной частоте n0 соответствует длина волны нм. Для прекращения фототока необходимо к электродам вакуумной трубки приложить такое напряжение, чтобы тормозящее электрическое поле препятствовало попаданию фотоэлектронов на анод. При этом работа сил кулоновского поля должна быть равна изменению кинетической энергии фотоэлектронов: , В.

 







Date: 2015-05-09; view: 6118; Нарушение авторских прав



mydocx.ru - 2015-2026 year. (0.557 sec.) Все материалы представленные на сайте исключительно с целью ознакомления читателями и не преследуют коммерческих целей или нарушение авторских прав - Пожаловаться на публикацию