Главная Случайная страница


Полезное:

Как сделать разговор полезным и приятным Как сделать объемную звезду своими руками Как сделать то, что делать не хочется? Как сделать погремушку Как сделать так чтобы женщины сами знакомились с вами Как сделать идею коммерческой Как сделать хорошую растяжку ног? Как сделать наш разум здоровым? Как сделать, чтобы люди обманывали меньше Вопрос 4. Как сделать так, чтобы вас уважали и ценили? Как сделать лучше себе и другим людям Как сделать свидание интересным?


Категории:

АрхитектураАстрономияБиологияГеографияГеологияИнформатикаИскусствоИсторияКулинарияКультураМаркетингМатематикаМедицинаМенеджментОхрана трудаПравоПроизводствоПсихологияРелигияСоциологияСпортТехникаФизикаФилософияХимияЭкологияЭкономикаЭлектроника






Краткая теория. Воздействие света на глаз или какой-либо другой приемный аппарат состоит, прежде всего, в передаче этому регистрирующему аппарату энергии





Воздействие света на глаз или какой-либо другой приемный аппарат состоит, прежде всего, в передаче этому регистрирующему аппарату энергии, переносимой световой волной.

Фотометрия, раздел физической оптики, в котором рассматриваются энергетические характеристики оптического излучения, испускаемого источниками, распространяющегося в различных средах и взаимодействующего с телами. При этом энергия электромагнитных колебаний оптического диапазона усредняется по малым интервалам времени, которые, однако, значительно превышают период таких колебаний. Фотометрия охватывает как экспериментальные методы и средства измерений фотометрических величин, так и относящиеся к этим величинам теоретические положения и расчёты.

Теоретические и экспериментальные методы фотометрии находят применение в светотехнике и технике сигнализации, в астрономии и астрофизике, при расчёте переноса излучения в плазме газоразрядных источников света и звёзд, при химическом анализе веществ, в пирометрии, при расчётах теплообмена излучением и во многих др. областях науки и производства.

Фундаментальный для фотометрии закон

(17.1)

согласно которому освещённость Е изменяется обратно пропорционально квадрату расстояния l от точечного источника с силой света I был сформулирован И. Кеплером в 1604. Однако основоположником экспериментальной фотометрии следует считать П. Бугера, который опубликовал в 1729 г. описание визуального метода количественного сравнения источников света – установления (путём изменения расстояний до источников) равенства освещённостей соседних поверхностей с использованием в качестве прибора глаза.

 

В 1760 г. И. Ламберт приступил к развитию теоретических методов фотометрии.

Прежде всего, необходимо дать определения основным фотометрическим величинам, которые применяют в измерительной практике. Их выбор обусловлен особенностями приемных аппаратов, непосредственно реагирующих на ту или иную из этих величин.

Основным энергетическим понятием фотометрии является световой поток излучения. Это энергия видимого излучения, переносимая потоком квантов света в единицу времени. Световой поток соответствует мощности излучения в системе энергетических величин. Обозначение: Φ. Единица измерения СИ: люмен.

Световая энергия – это энергия видимого излучения, переносимая потоком квантов. Под световой энергией понимается поток, получаемый за единицу времени от источника света. Обозначение Q. Единица измерения люмен·сек.

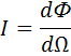
Отношение светового потока к телесному углу, в пределах которого заключен этот поток, называется силой света. Обозначение: I. Единица измерения СИ: кандела (кд).

Яркость — световая характеристика тел. Отношение силы света, излучаемого поверхностью, к площади ее проекции в плоскости, перпендикулярной точке наблюдения. Обозначение: L. Единица измерения СИ: кд/м².

Поверхность, у которой яркость не зависит от угла наклона площадки к лучу зрения, называется ортотропной; испускаемый с единицы площади такой поверхности световой поток подчиняется закону Ламберта (рис.17.1).

Рис. 17.1 Определение яркости

 

S 1 — элемент площади источника. S 2 — элемент площади приёмника. ε1 — угол между нормалью к элементу площади источника и направлением наблюдения.

Плотность потока световой энергии в заданном направлении называется светимостью. Обозначение: М. Единица измерения СИ: лм/м2

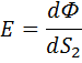
Освещение поверхности, создаваемое световым потоком, падающим на поверхность называется освещённостью. Обозначение Е. Единицей измерения освещенности в системе СИ служит люкс (1 люкс = 1 люмену на квадратный метр).

Все это можно свести в таблицу 17.1. Таблица 17.1

Величины Обозначение Определение Елиница измерений (символ) Единица энергетическая
Световой поток Ф люмен (лм)   Вт
Световая энергия Q люмен сек (лм с)   Дж
Сила света I Кандела (кд)   Вт/ср
  Яркость L кандела/м2 (кд/м2)   Вт/(ср м2)
Светимость M люмен /м2 (лм/м2)   Вт/м2
  Освещенность E люкс (лк)   Вт/М2

 

Источник излучения– это некоторая поверхность, излучающая энергию. Общими характеристиками источника излучения являются:

• поток излучения;

• диаграмма силы света – показывает распределение силы света в пространстве I(φ,θ);

яркость L(x,y,φ,θ), где x, y – координаты на поверхности источника, φ, θ – углы в полярных координатах.


Особый интерес представляет так называемый ламбертовский излучатель.Это такой излучатель, у которого яркость постоянна и не зависит от направления (то есть не зависит от положения точки на поверхности и от угла наблюдения).

В 1760 году И. Ламберт сформулировал закон, согласно которому яркость L рассеивающей свет диффузной поверхности одинакова во всех направлениях. Из определения закона Ламберта следуют простые соотношения между световыми величинами – светимостью М и яркостью L: M = πL; между силой света рассеивающей плоской поверхности по перпендикуляру к ней (I 0) и под углом θ (Iθ): Iθ = I 0 cosθ. Последнее выражение означает, что сила света такой поверхности максимально по направлению перпендикулярному к ней и, убывает с увеличением θ, становится равной нулю в касательных к поверхности направлениях.

В действительности лишь немногие реальные тела рассеивают свет без значительного отступления от закона Ламберта даже в видимой области спектра. К ним относятся поверхности, покрытые окисью магния, сернокислым барием, гипс, матовые поверхности; из мутных сред – молочное стекло, некоторые типы облаков; среди самосветящихся излучателей – абсолютно черное тело, порошкообразные люминофоры. Тем не менее, закон Ламберта находит широкое применение не только в теоретических работах как схема идеального рассеяния света, но и для приближенных фотометрических и светотехнических расчетов.

Отражение света – явление, заключающееся в том, что при падении света на границу раздела двух сред, в результате взаимодействия его с веществом второй среды появляется световая волна, распространяющейся от границы раздела «обратно» в первую среду. Несамосветящиеся тела становятся видимыми вследствие отражения света от их поверхностей.

Пространственное распределение интенсивности отражённого света определяется отношением размеров неровностей поверхности (границы раздела) к длине волны λ падающего излучения. Если неровности малы по сравнению с λ, имеет место зеркальное отражение света. Когда размеры неровностей соизмеримы с λ или превышают её (шероховатые поверхности, матовые поверхности) и расположение неровностей беспорядочно, отражение света диффузно. Возможно также смешанное отражение света, при котором часть падающего излучения отражается зеркально, а часть – диффузно. Если же неровности с размерами ~ λ и более расположены закономерно (регулярно), распределение отражённого света имеет особый характер, близкий к наблюдаемому при отражении света от дифракционной решётки.

Ламбертовское рассеяние - это такое рассеяние, которое происходит по всем направлениям, равномерно распределенным в пределах телесного угла . Яркость такой поверхности постоянна по всем направлениям и не зависит от направления падающего света, то есть полностью подчиняется закону Ламберта.

Часть падающего потока Ф поглощается поверхностью, и рассеивается лишь поток Ф ': Ф ' = α Ф. Коэффициент α называется альбедо(от лат. albus - белый), и является характеристикой отражательных свойств поверхности какого-либо тела.

Коэффициент альбедо α изменяется в пределах от нуля до единицы. У абсолютно черного тела α = 0(ничего не рассеивает, все поглощает), у абсолютно белого тела α = 1 (все рассеивает, ничего не поглощает)


Альбедо некоторых поверхностей:

α = 0,85-0,95 – очищенный мел,

α = 0,7-0,8 – белая бумага для рисования,

α = 0,78 – свежевыпавший снег,

α = 0,25-0,3 – песок,

α = 0,01-0,002 – черный бархат.








Date: 2015-05-08; view: 658; Нарушение авторских прав



mydocx.ru - 2015-2026 year. (2.416 sec.) Все материалы представленные на сайте исключительно с целью ознакомления читателями и не преследуют коммерческих целей или нарушение авторских прав - Пожаловаться на публикацию