Главная Случайная страница


Полезное:

Как сделать разговор полезным и приятным Как сделать объемную звезду своими руками Как сделать то, что делать не хочется? Как сделать погремушку Как сделать так чтобы женщины сами знакомились с вами Как сделать идею коммерческой Как сделать хорошую растяжку ног? Как сделать наш разум здоровым? Как сделать, чтобы люди обманывали меньше Вопрос 4. Как сделать так, чтобы вас уважали и ценили? Как сделать лучше себе и другим людям Как сделать свидание интересным?


Категории:

АрхитектураАстрономияБиологияГеографияГеологияИнформатикаИскусствоИсторияКулинарияКультураМаркетингМатематикаМедицинаМенеджментОхрана трудаПравоПроизводствоПсихологияРелигияСоциологияСпортТехникаФизикаФилософияХимияЭкологияЭкономикаЭлектроника






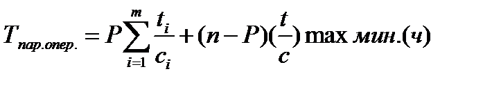
Параллельная форма движения предметов труда





а) длительность операционной части производственного цикла

б) полная длительность цикла

 

3. Параллельно-последовательная форма движения предметов труда:

а) длительность операционной части цикла

б) полная длительность цикла

 

 

Принятые обозначения в приведенных выше формулах:

- продолжительность операции, мин.(ч);

- количество рабочих мест (станков) на i-й операции;

- количество операций технологического процесса;

tМО - средняя величина межоперационных перерывов, мин.(ч);

n – количество изделий в партии, шт.;

P - величина передаточной (транспортной) партии изделий, тт.;

S - коэффициент сменности, смен в сутки;

q - продолжительность смены, мин.(ч);

- коэффициент, учитывающий календарный режим работы;

- большее отношение продолжительности операции к количеству рабочих мест (находится между двумя меньшими отношениями), мин.(ч);

- меньшее отношение продолжительности операции к количеству рабочих мест (находится между двумя большими отношениями), мин.(ч).

Средняя величина межоперационных перерывов в курсовой работе может быть принята в размере 1 минуты.

Величина передаточной (транспортной) партии изделий также может быть равна 1.

 

После определения длительности производственного цикла должны быть приведены соответствующие графики операционной части цикла и дано обос­нование выбранной формы организации производственного процесса.







Date: 2015-05-08; view: 643; Нарушение авторских прав



mydocx.ru - 2015-2026 year. (0.781 sec.) Все материалы представленные на сайте исключительно с целью ознакомления читателями и не преследуют коммерческих целей или нарушение авторских прав - Пожаловаться на публикацию