Главная Случайная страница


Полезное:

Как сделать разговор полезным и приятным Как сделать объемную звезду своими руками Как сделать то, что делать не хочется? Как сделать погремушку Как сделать так чтобы женщины сами знакомились с вами Как сделать идею коммерческой Как сделать хорошую растяжку ног? Как сделать наш разум здоровым? Как сделать, чтобы люди обманывали меньше Вопрос 4. Как сделать так, чтобы вас уважали и ценили? Как сделать лучше себе и другим людям Как сделать свидание интересным?


Категории:

АрхитектураАстрономияБиологияГеографияГеологияИнформатикаИскусствоИсторияКулинарияКультураМаркетингМатематикаМедицинаМенеджментОхрана трудаПравоПроизводствоПсихологияРелигияСоциологияСпортТехникаФизикаФилософияХимияЭкологияЭкономикаЭлектроника






Жизненный цикл товара и характеристика его стадий. Управление жизненным циклом товара





Жизненный цикл товара – это время существования товара на рынке, то есть временной промежуток от начала и до окончания его выпуска и реализации в первоначальном виде.

Стадии жизненного цикла товара. Можно выделить пять фаз:

Внедрение или выход на рынок. Это фаза появления нового товара на рынке. Начинается с момента распространения товара и поступления его в продажу. Цены на товар обычно повышены. Объем реализации очень мал. Фирма несет большие расходы, так как на этой фазе большие издержки производства, а расходы на стимулирование сбыта достигают обычно наивысшего уровня. Потребителями здесь являются новаторы, готовые идти на риск в апробировании нового товара.

Фаза роста. На этом этапе обычно происходит признание товара покупателями и быстрое увеличение спроса на него. Информация о новом товаре передается новым покупателям. Увеличивается число модификаций продукта. Прибыль высока, емкость рынка значительно увеличивается. Цены слегка снижаются.Потребителями на этом этапе являются люди, признающие новизну. Растет число повторных и многократных покупок.

Фаза зрелости. Характеризуется тем, что большинство покупателей уже приобрело товар. Темпы роста продаж падают. Товар переходит в разряд традиционных. Появляется большое количество модификаций и новых марок. Достигается максимум объема продаж. Снижается прибыль предприятия. Появляются запасы товара на складе, обостряется конкуренция. Ценовая конкуренция. Продажи по сниженным ценам.

Фаза насыщения. Рост продаж прекращается. Цена сильно снижается. Но, несмотря на снижение цены и использование других мер воздействия на покупателей, рост продаж прекращается. Охват рынка очень высок. На этом этапе высока вероятность повторного технологического совершенствования товара и технологии.

Спад. Спад является периодом резкого снижения продаж и прибыли. Сбыт может упасть до нуля или оставаться на очень низком уровне. Основная причина: появление нового, более совершенного товара или изменение предпочтений потребителей. Потребители теряют интерес к товару, а их число сокращается.

Управление на этапе внедрения 1. Стратегия быстрого “снятия сливок с рынка”. Компания устанавливает высокие цены на новый товар и усиленно рекламирует его во всех средствах массовой информации. 2. Стратегия быстрого проникновения на рынок. Фирма устанавливает низкие цены на новый товар и усиленно рекламирует его во всех средствах массовой информации, стимулируя желание приобрести новинку. 3. Стратегия медленного проникновения на рынок.Фирма устанавливает низкие цены на товар и усиленно рекламирует его в средствах массовой информации. Низкие цены будут способствовать быстрому признанию товара, а небольшие издержки на продвижение приведут к росту прибыли.

Управление на этапе роста 1)Улучшить качество товаров, придать ему новые свойства и “укрепить” его положении на рынке. 2) Выпустить новые модели и модификации, а так же расширить номенклатуру размеров, ароматов, и т.д., чтобы защитить основной товар. 3) Выйти на новые сегменты рынка. 4) Расширить действующие каналы сбыта и найти новые. 5) В рекламе перейти от осведомления к стимулированию предпочтения. 6) Снизить цены, чтобы привлечь потребителей, для которых их уровень является доминирующим фактором приобретения товара.

Управление на этапе зрелости. На этапе зрелости некоторые компании отказываются от производства товаров, пользующихся наименьшем спросом у потребителей, предпочитая направить ресурсы на производство наиболее прибыльных или новых товаров. Продавцам необходимо постоянно искать новые пути в использовании неисчерпаемых возможностей модификации рынка, продукта и маркетинга - микс.

Управление на этапе спада Существуют 5 стратегий, которые используют фирмы на данном этапе.1. Увеличение инвестиций с целью захватить лидерство или укрепить позиции на рынке.2. Сохранение определённых уровней капиталовложений, пока не прояснится ситуация в отрасли.3. Сокращение инвестиций, отказ обслуживать группы менее выгодных потребителей и одновременно увеличить капиталовложение в прибыльные ниши.4. Отказ от инвестиций в целях быстрого пополнения денежных средств.5. Отказ от производства товара и продажа освободившихся основных средств с наибольшей выгодой.

36 Конкурентоспособность товара: понятие, методика оценки.

Конкурентоспособность товара представляет собой совокупность качественных и стоимостных показателей произведенных изделий, обеспечивающих удовлетворение конкретной потребности покупателя (потребителя). Методы оценки конкурентоспособности продукции


Оценка конкурентоспособной продукции отражает соответствующие функциональные задачи: изучение конъюнктуры (спрос, предложение, цены, емкость рынка, каналы сбыта), определение набора потребительских и экономических показателей конкурентоспособности (натуральные, стоимостные, относительные), выбор базы для сравнения конкурентов (анализ показателей конкурентоспособности, выбор объекта в качестве базы для сравнения, расчет интегрального показателя конкурентоспособности). Оценка конкурентоспособности товара производится путем сопоставления параметров анализируемого товара с параметрами базы сравнения. Образцом, как правило, является аналогичный товар, который имеет максимальный объем продаж и наилучшую перспективу сбыта.

Дифференциальный метод. В случае, когда за базу сравнения принимают потребность, расчет единичного показателя конкурентоспособности производится по формуле:

gi — единичный параметрический показатель конкурентоспособности по i-му параметру; Пi — величина i-го параметра для анализируемой продукции; Пin — величина i-го параметра, при котором потребность удовлетворяется полностью; n — количество анализируемых параметров.

В случае принятия за базу сравнения образца, в знаменателе дроби проставляется величина i-го параметра для товара, принятого за образец.

В случае, когда параметры товара не имеют физической меры, для оценки их характеристик применяют методы балльных оценок. Этот метод позволяет только констатировать факт необходимости повышения или снижения параметров товара для повышения конкурентоспособности, но не отражает влияние каждого параметра при выборе товара потребителем.

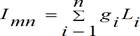
Комплексный метод. При этом расчет группового показателя по техническим параметрам производится по формуле:

Imn — групповой показатель конкурентоспособности по техническим параметрам; gi — единичный показатель конкурентоспособности по i-му техническому параметру; Li — весомость i-го параметра в общем наборе технических параметров, характеризующих потребность; n — число параметров, участвующих в оценке.

Расчет группового показателя по экономическим параметрам производится по формуле:

Где З, З0 — полные затраты потребителя соответственно по оцениваемой продукции и образцу.

Полные затраты потребителя включают единовременные затраты на приобретение товара (Зе) и средние суммарные затраты на эксплуатацию товара:

Т — срок службы; i — год по порядку.

Смешанный метод позволяет выразить способность товара конкурировать в определенных условиях рынка через комплексный количественный показатель — коэффициент конкурентоспособности:

i = 1…n — число параметров продукции, участвующих в оценке; j = 1…n — виды продукции; Li — коэффициент важности (значимости) по сравнению с остальными существенными параметрами продукции; Pij — конкурентоспособное значение i-го параметра для j-ой продукции; Pin — желаемое значение i-го параметра, которое позволяет полностью удовлетворить потребность показателя.

Таким образом, при помощи цифр можно дать характеристику конкурентоспособности одного товара по отношению к другим. Сопоставление товаров ведется при помощи таблицы сравнения параметров.


37. Ассортимент: понятие, методы анализа и управления

Одна из важнейших характеристик товаров — ассортимент, определяющий принципиальные различия между товарами разных видов и наименований. Ассортимент — это набор товаров, формируемый по определенным признакам и удовлетворяющий разнообразные, аналогичные и индивидуальные потребности. Ассортимент товаров классифицируется по местонахождению, широте охвата товаров, степени удовлетворения потребностей и по характеру потребностей.

Метод анализа ассортимента:

1. Анализ динамики товарооборота, прибыли, средней суммы покупки и количества покупок по дням недели - Определение тенденций развития магазина. Определение товарных групп- «магнитов» и товарных групп-«паразитов».

2. Анализ структуры товарооборота и прибыли (АВС – анализ)- 1. Определения значения товарных групп, подгрупп, марок для магазина. 2. Оптимизация ассортимента. 3. Распределение площадей и полочного пространства. 4. Разработка нормативов места для товарных групп при внедрении сетевых стандартов.

3. Анализ эластичности товарооборота - По товарным группам: 1. Определение «вклада» товарных групп в повышение или снижение товарооборота. 2. Определение групп, наиболее чувствительным к различным событиям. 3.Определение групп, больше всего пострадавших от открытия магазинов-конкурентов. 4. Оценка продаж товаров, имеющих ярко выраженную сезонность. 5. Корректировка ценовой политики магазина. По отдельным маркам: 1. Изменение ассортимента и выкладки, выбор марок для дополнительных точек продаж. 2. Определение марок, которые потребляет лишь незначительная часть покупателей.

4. XYZ-анализ - Позволяет оценивать стабильность продаж товарных групп или отдельных товаров и сравнивать стабильность продаж товаров различного типа спроса, различных ценовых категорий и различной оборачиваемости.

5. Анализ эффективности использования торговых площадей - Показывает «работу» торговых площадей: проблемные участки и потенциально перспективные зоны.

6. Анализ эластичности площади - Оценка эффективности изменений планировки и/или выкладки, проведенных в магазине.

Управление ассортиментом товара - деятельность, направленная на достижение требований рациональности ассортимента. Основными элементами управления являются определение ассортиментной политики организации и формирование ассортимента. Установление требований к рациональности начинается с выявления запросов потребителей к товарам определенной ассортиментной принадлежности. Для этого могут быть использованы такие методы, как социологический (опрос) и регистрационный (наблюдение). Требования к рациональности ассортимента измеряются в зависимости от конъюнктуры рынка. Основные направления формирования - это сокращение, расширение, углубление, обновление, совершенствование, гармонизация. Указанные направления взаимосвязаны, в значительной мере дополняют друг друга и определяются рядом факторов. Факторы: 1) сокращение ассортимента - количественные и качественные изменение ассортимента дешевых, некачественных товаров, не пользующихся спросом у потребителей. 2) расширение ассортимента - количественные и качественные изменение набора товаров за счет увеличения показателей широты, полноты, глубины и новизны выпуска новых товаров. 3) углубление ассортимента - количественные и качественные изменения ассортимента товаров за счет разработки и предложения новых торговых марок или их модификации. 4) стабилизация ассортимента - состояние набора товаров, характеризующееся высокой устойчивостью и низкой степенью обновления. 5) обновление ассортимента - количественные и качественные изменения состояния набора товаров, характеризующиеся увеличением показателей новизны; 6) совершенствование ассортимента - количественные и качественные изменения состояния набора товаров для повышения его рациональности; 7) гармонизация ассортимента - отражает степень близости реального ассортимента к лучшим отечественным, либо зарубежным аналогам. Главная цель формирования ассортимента - наиболее полное удовлетворение покупательского спроса.








Date: 2015-04-19; view: 1007; Нарушение авторских прав



mydocx.ru - 2015-2026 year. (0.291 sec.) Все материалы представленные на сайте исключительно с целью ознакомления читателями и не преследуют коммерческих целей или нарушение авторских прав - Пожаловаться на публикацию