Главная Случайная страница


Полезное:

Как сделать разговор полезным и приятным Как сделать объемную звезду своими руками Как сделать то, что делать не хочется? Как сделать погремушку Как сделать так чтобы женщины сами знакомились с вами Как сделать идею коммерческой Как сделать хорошую растяжку ног? Как сделать наш разум здоровым? Как сделать, чтобы люди обманывали меньше Вопрос 4. Как сделать так, чтобы вас уважали и ценили? Как сделать лучше себе и другим людям Как сделать свидание интересным?


Категории:

АрхитектураАстрономияБиологияГеографияГеологияИнформатикаИскусствоИсторияКулинарияКультураМаркетингМатематикаМедицинаМенеджментОхрана трудаПравоПроизводствоПсихологияРелигияСоциологияСпортТехникаФизикаФилософияХимияЭкологияЭкономикаЭлектроника






Действия с приближёнными числами





1021. 1) В результате измерения получены два приближённых числа 2,7 м и 2,62 м, которые требуется сложить. Укажите верные цифры в полученной сумме.

2) Сложить приближённые числа 60,4: 2,02; 0,222 и 0,0462. Укажите верные цифры в полученной сумме. Как можно было более рационально выполнить сложение?

1022. Вычислить сумму чисел, считая, что слагаемые даны с точностью до единицы последнего разряда:

4) 117,55; 24,71; 18,88; 2,40 и 17,50

5) 287,7; 3,40; 202,44; 30,417 и 5,675

6) 5,73; 4,104; 2,60 и 1,894

7) 1,936; 12,29; 11,6; 147,50 и 40,98

 

1023. Вычислить приближённую разность чисел, если числа
даны с точностью до единицы последнего разряда:

1) 13,752 — 2,524 2) 3,71 — 2,4

3) 58,06— 18,780 4) 124,658 - 15,60

1024. Выполнить сложение и вычитание с наибольшей достижимой точностью, если данные числа даны с точностью до единицы последнего разряда:

70,137+173,94 — 116,316—29,37+0,037

1025. 1) В комнате, длина которой равна а≈4,6 м, а ширина b≈3,8 м, нужно сменить плинтусы. Сколько погонных метров плинтуса для этого требуется?

2) Участок сада прямоугольной формы длиной а≈18,5 м и шириной b≈24,7 м нужно огородить изгородью. Какова её длина?

1026. 1) Бутылка с растительным маслом весит 1,350 кг. Каков вес масла, если пустая бутылка весит 0,545 кг?

2) Вес станка р≈0,48 т, вес подставки к нему q≈0,75 т. Для перевозки их подали автомашину грузоподъёмностью 2,0 т, Какого веса груз можно положить до полного использования грузоподъёмности автомашины?

1027. По семилетнему плану предусматривается завершить строительство гидроэлектростанций:

Братской, мощностью 3 600 тыс. киловатт

Волгоградской " 2 530 " "

Красноярской " 4 200 " "

Кременчугской " 625 " "

Воткинской " 1 000 " "

Какова общая мощность перечисленных гидроэлектростанций?

1028. 1) Сколько значащих цифр имеет каждое из чисел:

794; 105,3; 0,43; 0,705; 0.045; 81,20; 0,630; 0,0080?

2) Округлить до четырёх верных значащих цифр числа:

15,7056; 2,3415; 0,36625; 0,02374

1029. 1) Указать разницу в записях: «длина авторучки 14 см» и «длина авторучки 14,0 см».

2) Измерьте длину и ширину своей тетради по арифметике сантиметровой линейкой. Сколько значащих цифр в каждом из полученных приближённых чисел?

1030. Вычислить произведение 7   • 1   обратив дробные числа в десятичные дроби и
   

округлив сомножители до четырёх верных значащих цифр. Вычислить точное значение произведе­ния. Вычислить абсолютную погрешность.

1031. 1) Вычислить приближённое произведение чисел, если первый сомножитель — точное число, а второй — приближённое число;

254•3,6; 28•0,184; 47•0,86

2) Вычислить произведения приближённых чисел:

4,26•7,12 0,453•2,73 1,84•0,672

6,52•0,048 8,46•5,3 4,281•8,47

63,04•5,120 2,65•3,0 37,150•92,3

1032. Вычислить частные от деления приближённых чисел:

74,1:3,8 2,35:0,72 38,5:2,7

4,3:1,7 316:24,9 16,7:24,0

260,5:3,16 1,75:0,083 3,8:2,63

418,8:24 24,94:5,8 23,0:8,125


1033. 1) Длина комнаты а≈5,8 м и ширина b≈4,3 м.Вычислить площадь комнаты.

2) Длина комнаты 6,2 м (±0,05) и ширина её 4,8 м (+0,05). В комнате имеется печка, занимающая площадь 1,4 кв. м (±0,05). Найти полезную площадь комнаты.

1034. 1) Сторона квадрата равна 2,5 см (±0,05). Вычислить площадь квадрата.

2) Ребро куба равно 3,2 см (±0,05). Вычислить объём куба.

1035. 1) На грядке длиной а≈4,8 м и шириной b≈0,75 м 30% площади занято морковью, 50% — луком, остальная площадь занята укропом. Какая площадь занята каждой культурой?

2) Участок сада имеет площадь S ≈640 кв. м. 15% его пло­щади занимают постройки, 40% — плодовые деревья, остальную площадь занимают ягодные посадки. Какую площадь занимают постройки, плодовые деревья и ягодные посадки на участке?

1036. 1) Сколько можно сшить детских костюмов из 34,2 м (+0,05) ткани, если на один костюм расходуется 2,8 м (±0,05)?

2) Сколько классных журналов можно обернуть листом цвет­ной бумаги размером 0,80 м х 0,60 м (±0,005), если на один журнал расходуется 0,18 кв. м (±0,005)?

1037. Земельный участок имеет площадь 860 кв. м. Какую площадь он займёт на плане с масштабом 5 м в 1 см?

1038. Произвести указанные действия с приближенными числами (числа даны с точностью до половины единицы разряда последней значащей цифры):

1) 3,5•51,2+8,25•12,7


2) (19,55+1,87)•0,42

3) (54,6 — 42,3)•15,4

4) 54,23:1,1+32,130:10,5

5) 160,12 — 34,17:0,34+6,25:12,5

6) (23,14 —12,08):0,20+2,4•6,0

7) 2,7:1,35+0,40:2,5+4,2•1,80

8) [(11,0 — 9,47): 1,5+46,4]:29:(2,5•0,16)

9) (3,6+4,6+3,8)•2,4

10) 6,25•8 — 5,5•3,6+2,4•4,5

11) (3,06:7,5+3,4•0,38)•(20 —2,38•5,3)

12) (8,04+2,5•0,24 —0,5)•(5,4+1,5+3,06)

1039. Комнату длиной а≈5,6 м, шириной b≈3,2 м и высотой с≈2,7 м требуется оштукатурить (потолок и стены). Вычислить, какую площадь нужно оштукатурить, если в комнате имеется окно шириной 1,40 м и высотой 1,00 м и дверь шири­ной 0,80 м и высотой 1,90 м.

1040. На окраску пола в комнате длиной а ≈ 6,2 м и шириной b≈4,3 м пошло 2,75 кг краски. Сколько килограммов краски потребуется для окраски пола в комнате длиной а1≈5,2 м
и шириной b1≈3,5 м?

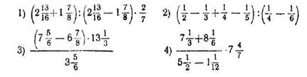
1041. Вычислить приближённое значение выражений, ограничиваясь при обращении обыкновенных дробей в десятичные точностью до 0,01. Найти в каждом случае абсолютную погрешность:

 

 








Date: 2015-05-04; view: 1723; Нарушение авторских прав



mydocx.ru - 2015-2026 year. (0.353 sec.) Все материалы представленные на сайте исключительно с целью ознакомления читателями и не преследуют коммерческих целей или нарушение авторских прав - Пожаловаться на публикацию