Главная Случайная страница


Полезное:

Как сделать разговор полезным и приятным Как сделать объемную звезду своими руками Как сделать то, что делать не хочется? Как сделать погремушку Как сделать так чтобы женщины сами знакомились с вами Как сделать идею коммерческой Как сделать хорошую растяжку ног? Как сделать наш разум здоровым? Как сделать, чтобы люди обманывали меньше Вопрос 4. Как сделать так, чтобы вас уважали и ценили? Как сделать лучше себе и другим людям Как сделать свидание интересным?


Категории:

АрхитектураАстрономияБиологияГеографияГеологияИнформатикаИскусствоИсторияКулинарияКультураМаркетингМатематикаМедицинаМенеджментОхрана трудаПравоПроизводствоПсихологияРелигияСоциологияСпортТехникаФизикаФилософияХимияЭкологияЭкономикаЭлектроника






Сложение и вычитание дробей





Вычислить:

364.1) 3 -   + 1   + 3 - 1   2) 4   - 3   + 8   - 8  
             

 

3) 25   - 8   - 12   - 2   4) 18   + 16   - 25   + 17  
               


367. Записать со скобками, а затем вычислить:

1) к 10   прибавить разность чисел 5   и 2   ;
     

 

2) из 12   вычесть сумму чисел 3   и 5   ;          
           

 

3) к разности чисел 8   и 5   прибавить разность чисел 15   и 6   ;      
           

 

4) из суммы чисел 28   и 26   вычесть разность чисел 28   и 20   .      
           

 

368. 1) На сколько больше сумма чисел 2   и 1   чем разность тех же чисел?  
     

 

2) На сколько меньше разность чисел 3   и 1   , чем их сумма?      
       

 

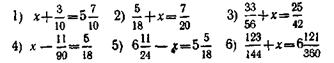
369. Найти неизвестное число х:

370. Записать равенства, обозначив неизвестное через х. Найти х:

1) Какое число надо прибавить к   , чтобы получить   ?    
     

 

2) Какое число надо прибавить к 35   , чтобы получить 40   ?    
     

 

3) На какое число надо увеличить 88   , чтобы получить 92   ?    
     

 

4) На какое число надо уменьшить 51   , чтобы получить 32   ?    
  12  

 

371. 1) К какому числу надо прибавить 14   , чтобы получить 26   ?    
     

 

2) Из какого числа надо вычесть 35   , чтобы получить 11   ?    
     

 

3) Какое число надо прибавить к 10   , чтобы сумма была равна разности чисел 27   и 11  
     

 

4) Найти уменьшаемое, если вычитаемое равно сумме чисел 12   и 1   , а разность равна 5  
     

 

372. Написать два дробных числа

1) Чтобы одно было больше другого на 2 3/8

2) Чтобы разность их была равна вычитаемому.

373. Как изменится сумма двух чисел, если:

1) К одному слагаемому прибавить 5   ?    
   

 

2) К первому слагаемому прибавить 7   , а ко второму 3   ?    
     

 

3) От первого слагаемого вычесть 11   , а от второго 3   ?    
     

 

4) От первого слагаемого вычесть 6   , а ко второму прибавить 10   ?    
     

 


374. Как изменится разность двух чисел, если:

1) Уменьшаемое увеличить на 5   ?        
     

 

2) Вычитаемое уменьшить на 7   ?        
     

 

3) К уменьшаемому прибавить 14   , а к вычитаемому 15   ?      
       
4) К уменьшаемому прибавить 3   , а из вычитаемого вычесть 5   ?    
     

 

375. 1) Сумму двух чисел уменьшили на 5   причём от одного слагаемого отняли 3   .
   

 

Как изменили второе слагаемое?

2) Разность двух чисел уменьшили на 5, причём вычитаемое увеличили на 3   .
 

 

Как изменили уменьшаемое?

376. В колхозе засеяно 1687   га земли; из них рожью 760   га, пшеницей на 20   га больше,
     

чем рожью, а остальная земля засеяна другими полевыми культурами. Сколько гектаров земли засеяно другими культурами?


377. В первом ящике на 3   кг яблок больше, чем во втором. Сколько килограммов яблок надо
 

 

взять из второго ящика, чтобы в первом стало на 6   кг больше, чем во втором? Сколько килограм-
 

 

мов яблок надо взять из первого ящика, чтобы в первом стало меньше на 1   , чем во втором?
 

 

378. 1) Пароход по течению реки проходит 23 3/8 км в час. Скорость течения реки в час. Сколько километров пройдёт пароход за час против 2 1/2 км течения реки? (Рис. 27.)

2) Катер по течению проходит 17 1/2 км в час, а против течения 12 1/2 км. Какова скорость течения реки?

379. К 1946 г. общая длина линий Московского метрополитена (метро) составляла 40 3/10 км. Эти линии были сооружены в три очереди. Длина линий первой и второй очереди составляет 26 1/2 км, а длина линий второй и третьей очереди 28 7/10 км.

Определить длину каждой линии Московского метрополитена.


380. 1) Самолёт, вылетевший из Москвы, достиг Северного полюса на третий день. В первый день он пролетел 4/15 во вто­рой 5/12 всего пути. Какую часть пути он пролетел за третий день?

2) Рабочий выполнял задание за 8 час. Усовершенствовав станок, он стал выполнять это задание за 5 час. На какую часть задания рабочий стал выполнять за 1 час больше, чем вы­полнял

прежде?

381. 1) Велосипедист проехал 47 км за 5 час, а всадник за 6 час. проехал 43 км. На сколько километров велосипедист проезжает за час больше всадника?

 

2) В бассейн проведены три трубы. Через одну он наполняется за 6 час, через другую за 8 час, а через третью вся вода из бассейна вытекает за 9 час. Какая часть бассейна наполнится за час, если открыть все три трубы одновременно?

Выполнить следующие действия:

 







Date: 2015-05-04; view: 1783; Нарушение авторских прав



mydocx.ru - 2015-2026 year. (1.178 sec.) Все материалы представленные на сайте исключительно с целью ознакомления читателями и не преследуют коммерческих целей или нарушение авторских прав - Пожаловаться на публикацию