Главная Случайная страница


Полезное:

Как сделать разговор полезным и приятным Как сделать объемную звезду своими руками Как сделать то, что делать не хочется? Как сделать погремушку Как сделать так чтобы женщины сами знакомились с вами Как сделать идею коммерческой Как сделать хорошую растяжку ног? Как сделать наш разум здоровым? Как сделать, чтобы люди обманывали меньше Вопрос 4. Как сделать так, чтобы вас уважали и ценили? Как сделать лучше себе и другим людям Как сделать свидание интересным?


Категории:

АрхитектураАстрономияБиологияГеографияГеологияИнформатикаИскусствоИсторияКулинарияКультураМаркетингМатематикаМедицинаМенеджментОхрана трудаПравоПроизводствоПсихологияРелигияСоциологияСпортТехникаФизикаФилософияХимияЭкологияЭкономикаЭлектроника






Кристаллизация веществ из раствора





 

Процесс кристаллизации состоит из двух стадий: образование центров кристаллизации (зародышей) и рост кристаллов (зародышей).

Центрами кристаллизации могут служить не только самопроизвольно образовавшиеся частицы самого вещества, но и любые другие частицы, способные адсорбировать на своей поверхности молекулы или ионы кристаллизующегося вещества[3]. Такого типа центры всегда присутствуют на поверхности труб и в объеме водного теплоносителя. Поэтому первая стадия кристаллизации в реальных условиях не лимитирует скорость всего процесса.

Рост кристаллов определяется двумя процессами: диффузией строи­тельных частиц к поверхности кристалла и введение их в определенные места кристалла.

Рассмотрим изменение концентрации примеси вблизи поверхности кристалла (рис. 1.1).

Рис. 1.1. Изменение концентрации примеси около поверхности кристалла в процессе кристаллизации вещества из раствора.

На поверхности кристалла концентрация примеси соответствует рас­творимости вещества С0 при температуре в данной точке (на поверхности кристалла, трубы и т. д.).

Около кристалла находится поверхностный слой жидкости, толщиной , в пределах которого действуют силы ван-дер-ваальсовского, электро­статического взаимодействия между молекулами твердой фазы и жидкости. Этот слой жидкости практически неподвижен.

Поверхностный слой жидкости контактирует с диффузионным пристенным слоем толщиной , в котором перемещение примеси (в молекулярной или дисперсной форме) происходит за счет диффузии под воздействием градиента концентрации. На границе этих слоев концентрация примеси . Дальше располагается ядро потока (в двухслойной модели пристенного слоя) с концентрацией примеси .

Методика вывода скорости кристаллизации взята из [3].

Интенсивность доставки вещества через диффузионный слой к поверхности кристалла , рассчитывается по уравнению Фика:

(1.1)

где - коэффициент диффузии, рассчитанный по средней температуре жидкости в диффузионном слое.

Принимая, что изменение концентрации примеси в диффузионном слое близко к линейному, преобразуем (1.1):

(1.2)

Процесс кристаллизации вещества можно разделить следующие этапы (рис.1.2): адсорбция частицы поверхностью, миграция ее в поверхностном слое жидкости к свободному месту в кристаллической решетке, внедрение в кристаллическую решетку. Этот процесс обычно описывается уравнением химической реакции первой степени

(1.3)

где - скорость роста кристалла,

- константа скорости реакции.

Рис. 1.2. Схема процесса собственно кристаллизации вещества.

Константа скорости реакции зависит от вещества, коэффициента диффузии частицы в поверхностном слое (по температуре стенки), кристаллической решетки, дефектов в ней и т.д.

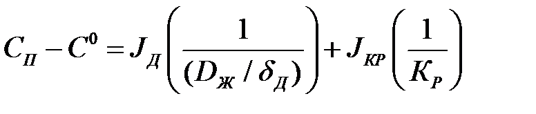
В стационарном режиме . Результирующий поток будет равен

(1.4)

где - коэффициент скорости кристаллизации.

Исключим из (1.2) и (1.3) концентрацию :

из (1.2):

из (1.3):

После сложения:

или

.

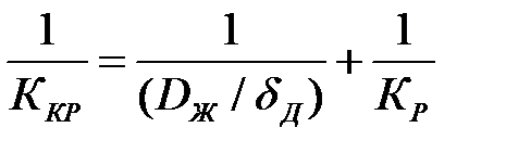
Сопоставление полученного выражения с (1.4) показывает, что

(1.5)

Отсюда коэффициент скорости кристаллизации будет равен

(1.6)

Коэффициент скорости кристаллизации определяется скоростью доставки примеси к месту кристаллизации и скоростью самого процесса кристаллизации.

Если скорость доставки значительно меньше скорости реакции , то , т.е. весь процесс кристаллизации контролируется доставкой вещества. Наоборот, при коэффициент . Следовательно, процесс кристаллизации какого-либо вещества из раствора на твердой поверхности определяется стадией, идущей с наименьшей скоростью.

Введем понятие пересыщения раствора

(1.7)

Тогда скорость кристаллизации

(1.8)

При больших пересыщениях скорость кристаллизации высока и лимитирующей стадией становится диффузия вещества к поверхности кристалла. Доставка вещества к кристаллу ограничивает скорость его роста и при высоких температурах, так как с увеличением температуры растет. Для водных растворов солей и некоторых веществ органического происхождения диффузия контролирует рост кристаллов при температуре выше 45-50°С.

С уменьшением пересыщения роль процесса кристаллизации возрастает. Рост кристаллов происходит и при очень маленьких пере­сыщениях. Этот процесс связан с наличием дефектов в структуре и дисло­кациями в растущем кристалле. К дефектам относятся трещины, изломы, шероховатости поверхности. При пересыщении порядка и выше скорость роста кристаллов может быть представлена в виде зависимости

(1.9)

где характеризует опорные размеры кристалла.


Как видно из анализа процесса кристаллизации, в доставке вещества и собственно кристаллизации существенную роль играют диффузионные процессы. При , кристаллизация вещества происходить не будет. Если же то т. е. при наличии примеси около поверхности твердой фазы сам процесс кристаллизации не происходит.

Рассмотрим когда возможны эти случаи в паровых котлах?

При сверхкритическом давлении в зоне максимальной теплоемкости

(рис. 1.3) происходит резкое снижение коэффициента диффузии вещества в водном теплоносителе. Это связано с коренной перестройкой структуры воды, когда подвижность ее молекул и коэффициент самодиффузии воды резко снижаются.

Рис.1.3. Зависимость коэффициента диффузии вещества в водном теплоносителе при сверхкритическом давлении от температуры.

Рассмотрим изменение температуры водного теплоносителя при сверх­критическом давлении по длине обогреваемой трубы в какой-то момент времени. На рис. 1.4. показано, что в сечении 1-1 температура воды становится равной температуре максимальной теплоемкости у поверхности трубы, а затем, по мере прогрева среды, зона с проникает все дальше по сечению трубы, пока ядро потока (в сечении 2-2) не прогреется до этой температуры.

Рис.1.4. Граница температуры максимальной теплоемкости в потоке водного теплоносителя

Когда температура среды в поверхностном слое у кристалла близка к (в районе сечения 1-1 на рис. 1.4), резко снижается, что тормозит сам процесс кристаллизации (рис. 1.5). Дальше по ходу среды уве­личивается, рост кристалла возобновляется. Но зона смещается в диф­фузионный пристенный слой, и скорость доставки резко уменьшаются (условно сечение 3-3 на рис. 1.4), что приводит к снижению скорости роста кристалла (рис. 1.5, сечение 3-3).

Рис. 1.5. Изменение скорости кристаллизации вещества по длине обогреваемого канала.

Таким образом, при изменении температуры водного теплоносителя СКД по длине трубы возможны участки, где скорость кристаллизации при­меси и, следовательно, роста массы отложений на поверхности трубы за­медляется из-за снижения скорости диффузии вещества.

 







Date: 2015-06-08; view: 658; Нарушение авторских прав



mydocx.ru - 2015-2026 year. (0.193 sec.) Все материалы представленные на сайте исключительно с целью ознакомления читателями и не преследуют коммерческих целей или нарушение авторских прав - Пожаловаться на публикацию