Главная Случайная страница


Полезное:

Как сделать разговор полезным и приятным Как сделать объемную звезду своими руками Как сделать то, что делать не хочется? Как сделать погремушку Как сделать так чтобы женщины сами знакомились с вами Как сделать идею коммерческой Как сделать хорошую растяжку ног? Как сделать наш разум здоровым? Как сделать, чтобы люди обманывали меньше Вопрос 4. Как сделать так, чтобы вас уважали и ценили? Как сделать лучше себе и другим людям Как сделать свидание интересным?


Категории:

АрхитектураАстрономияБиологияГеографияГеологияИнформатикаИскусствоИсторияКулинарияКультураМаркетингМатематикаМедицинаМенеджментОхрана трудаПравоПроизводствоПсихологияРелигияСоциологияСпортТехникаФизикаФилософияХимияЭкологияЭкономикаЭлектроника






Способы косвенного обоснования тезиса аргументации





Косвенная аргументация – та, в которой используются допущения, т. е. рассуждение в ней осуществляется по непрямым правилам вывода. В ней выводимость { А 1..., Аn} Þ Т обосновывается на основе других обоснованных выводимостей. Один из ее видов заключается в следующем. Требуется обосновать некоторое утверждение (тезис). Выдвигается утверждение, являющееся отрицанием тезиса т. е. антитезис (допущение косвенной аргументации). Из имеющихся аргументов и антитезиса выводят (дедуктивно или индуктивно) противоречие (конъюнкцию некоторого утверждения и отрицания этого утверждения). В результате делается вывод об обоснованности (полной или частичной) тезиса.

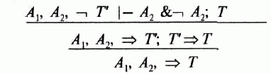
Если тезис обозначить буквой Т, множество аргументов – Г, а следование (индуктивное или дедуктивное) – знаком Þ, или чертой, то схематически косвенную аргументацию можно изобразить так:

 

 

Этот вид косвенной аргументации называется аргументацией от противного, или апагогической аргументацией.

Проанализируем следующее рассуждение о так называемом “буридановом осле”. Осел находится между двумя одинаково удаленными от него охапками сена одинакового качества и одинаковой величины. Если бы он не обладал свободой воли, то умер бы от голода, не отдав предпочтения ни одной из этих охапок сена, поскольку оснований для того, чтобы отдать предпочтение одной из них, нет. Следовательно, поскольку на практике, в чем, по крайней мере, есть убежденность, в таких случаях ослы не умирают, они обладают свободой воли. Значит, свобода воли существует.

Здесь тезисом является утверждение: “Свобода воли существует” (Т). Имеется вспомогательный тезис: “Осел обладает свободой воли” (Т¢). Утверждение: “Осел не обладает свободой воли” – антитезис (Ø Т¢), отрицание вспомогательного тезиса. Аргументы: “Нет оснований для того, чтобы отдать предпочтение одной из охапок сена” (А 1); “На практике, в чем, по крайней мере, есть убежденность, ослы в таких случаях не умирают” (А 2).

Схема рассуждения:

 

 

Очевидно, что косвенные аргументации могут быть доказательными и недоказательными, а последние, в свою очередь, делятся на три вида.

Еще один вид косвенной аргументации – разделительная аргументация. Она осуществляется посредством рассуждения разбором случаев.

Пример. Пусть в закрытом помещении находились три человека и один из них оказался убит. Точно установлено, что в помещение никто не входил и никто из него не выходил. Рассуждать можно так. Остановлено, что имеет место именно убийство, а не самоубийство, т. е. умерший человек не убивал (самого себя) – Ø А 1 второй не убивал – Ø А 2. Следовательно, третий человек совершил убийство – А 3. Схематически:

 

 

В таких аргументациях тезис обосновывается путем исключения всех членов разделительного суждения, кроме одного.

Косвенное логическое доказательство с правовой точки зрения не является завершенным. Тезис, доказанный таким способом, требует еще и обоснования посредством прямого доказательства. Например, тезис рассмотренного выше разделительного доказательства (А 3) – утверждение о том, что убил третий человек, – необходимо обосновать путем воссоздания события преступления: чем убил, как и т. д.

64 Приёмы и виды критики.

Наряду с приемами обоснования тезиса искусство аргументации предполагает также овладение рациональными приемами критики.

Критика — это логическая операция, направленная на разру­шение ранее состоявшегося процесса аргументации. По форме выражения критика бывает неявной и явной. Неявная критика это скептическая оценка позиции пропонента без конкретного анализа недостатков и точного указания на слабые места. Сомнение в этом случае выражают примерно в такой форме: «Ваши идеи мне представляются сомнительными», «Я отно шусь к Вашим утверждениям весьма скептически» и т.п. Просьбу об уточнении и конкретизации такой критики обычно оставляют без

ответа. Явная критика — указание на конкретные недостатки, выявлен­ные в аргументации пропонента. По направленности явная критика может быть трех видов: де­структивная, конструктивная и смешанная. 1. Деструктивная критика. Деструктивной будем называть критику, направленную на разру­шение аргументативного процесса путем критики тезиса, аргумен­тов или демонстрации.

 

55 (1) Критика тезиса весьма эффективная по разрушительной силе операция, цель которой — показать несостоятельность тезиса. Такая критика называется опровержением тезиса. Тезис расценива­ют как заведомо ложный, если пропонент заранее знал об этом, но тем не менее отстаивал его, создавая видимость аргументации. Оши­бочным тезис будет в том случае, если пропонент заблуждался относительно действительного логического статуса своего утверж­дения.


Рассмотрим прямое опровержение тезиса, которое строится в форме рассуждения, получившего название «сведение к абсурду». Аргументация в этом случае протекает в следующем виде. Вначале делают апагогический шаг, т.е. условно допускают истинность вы­двинутого пропонентом положения и выводят логически вытекаю­щие из него следствия. На этой основе заключают о несостоятельности самого тезиса, рассуждая по принципу: ложные следствия всегда свидетельствуют о ложности их основания. В процессе аргументации прямое опровержение выполняет разрушительную, или деструктивную, функцию. С его помощью де­монстрируют несостоятельность тезиса пропонента, не выдвигая ни­какой идеи взамен. Несмотря на чисто критическую функцию, опро­вержение «сведением к абсурду» часто оказывается полезным. (2). Критика аргументов. Поскольку аргументация — это обо­снование тезиса с помощью ранее установленных положений, то следует пользоваться доводами, истинность которых не вызывает сомнений. Если оппоненту удается показать сомнительность или ложность аргументов, то существенно ослабляется позиция пропо­нента, ибо такая критика показывает необоснованность его тезиса. В случае установления ложности аргументов тезис безоговорочно считается необоснованным и нуждается в новом, самостоятельном подтверждении. (3) Критика демонстрации третий способ деструктивной критики. В этом случае показывают, что в рассуждениях пропонента нет логической связи между аргументами и тезисом. Если тезис не вытекает из аргументов, то он считается необоснованным. На­чальный и конечный пункты рассуждения оказываются вне логичес­кой связи друг с другом. Как критика аргументов, так и критика демонстрации сами по себе лишь разрушают аргументацию и показывают необоснован­ность тезиса. В этом случае о тезисе можно сказать, что он не опира­ется на доводы либо опирается на недоброкачественные доводы и требует нового обоснования. Указанные способы критики применяются не только в качестве самостоятельных операций, но и в различных сочетаниях. Существуют и такие аргументативные процессы, где де­структивная позиция оказывается единственно возможным спо­собом критики. Примером этому может служить уголовное судо производство, которое строится на состязательной основе с разделе­нием функций обвинения и защиты. В процессе судебных прений защитник может лишь деструктивно критиковать позицию обвине­ния. Установка же на обнаружение позитивных идей, объясняющих существо дела, не входит в обязанности защитника и не практикует­ся в судопроизводстве. 2. Конструктивная критика. Конструктивной критикой будем называть обоснование оппо­нентом собственного тезиса с целью опровержения альтернатив­ного утверждения пропонента. В случае конструктивного подхода оппонент не занимается дета­лями — отдельными аргументами, слабыми местами и неточностями в рассуждении пропонента. Стратегия конструктивной критики вы­ражается в следующем. (1) Четко и развернуто представить тезис своего выступления. (2) Показать, что этот тезис не просто отличается от утверждений пропонента, а противоречит ему как альтернативный. (3) Сосредоточить усилия на подборе аргументов в пользу вы­ставленного тезиса, чтобы максимально воздействовать на пропоне­нта и аудиторию. 3. Смешанная критика. Под смешанной подразумевается критика, сочетающая кон­структивный и деструктивный подходы. Различают кон­структивно-деструктивную композицию (КДК), когда оппонент вначале обосновывает свой тезис и противопоставляет его утверж­дению пропонента, затем подвергает критическому анализу и вскрывает недостатки в аргументации пропонента. Д еструктивно-конструк­тивная композиция (ДКК). Оппонент вначале подвергает критике рассуждения оппонента. Затем — позитивная процедура — обо­снование собственного тезиса, альтернативного утверждению про­понента.








Date: 2015-06-08; view: 1796; Нарушение авторских прав



mydocx.ru - 2015-2026 year. (0.223 sec.) Все материалы представленные на сайте исключительно с целью ознакомления читателями и не преследуют коммерческих целей или нарушение авторских прав - Пожаловаться на публикацию