Главная Случайная страница


Полезное:

Как сделать разговор полезным и приятным Как сделать объемную звезду своими руками Как сделать то, что делать не хочется? Как сделать погремушку Как сделать так чтобы женщины сами знакомились с вами Как сделать идею коммерческой Как сделать хорошую растяжку ног? Как сделать наш разум здоровым? Как сделать, чтобы люди обманывали меньше Вопрос 4. Как сделать так, чтобы вас уважали и ценили? Как сделать лучше себе и другим людям Как сделать свидание интересным?


Категории:

АрхитектураАстрономияБиологияГеографияГеологияИнформатикаИскусствоИсторияКулинарияКультураМаркетингМатематикаМедицинаМенеджментОхрана трудаПравоПроизводствоПсихологияРелигияСоциологияСпортТехникаФизикаФилософияХимияЭкологияЭкономикаЭлектроника






Решение задачи. 1. Влияние стального сердечника на магнитное поле катушки





1. Влияние стального сердечника на магнитное поле катушки. При отсутствии стального ферромагнитного сердечника, магнитные линии замыкаются по воздуху непосредственно вокруг катушки.

А
Б
Т В
H А/М
0,8
1,2
0,4
 
 
 
 
 
 
Рис.1

 

Введение стального сердечника резко изменяет картину магнитного поля. Сталь, имеющая высокую магнитную проницаемость, создаёт для магнитного потока путь с гораздо меньшим магнитным сопротивлением, чем воздух; поэтому замыкающийся по стали магнитный поток Ф во много раз больше, чем у той же катушки без сердечника. Незначительная часть магнитных линий замыкается по воздуху, образуя поток рассеяния Фр. Во многих практических случаях сталь магнитной цепи не насыщена (участок ОБ кривой намагничивания, рис.1), и магнитный поток Ф превосходит в сотни и тысячи раз замыкающийся по воздуху магнитный поток Ф, замыкающийся по стали, пренебрегая потоком рассеяния Фр. Поэтому нужно принимать во внимание только поток Ф, замыкающийся по стали, пренебрегая потоком рассеяния Фр.

В таком случае относительно рассматриваемой магнитной цепи можно сделать два важных вывода:

Во-первых, длинна магнитного пути (магнитных линий) определяется длиной магнитопровода, который как бы превращает короткую, размещённую на сердечнике, в длинную и замкнутую (наподобие торроидальной).

Во-вторых, магнитный поток одинаков в любом поперечном сечении рассматриваемого магнитопровода (неразветвлённая магнитная цепь).

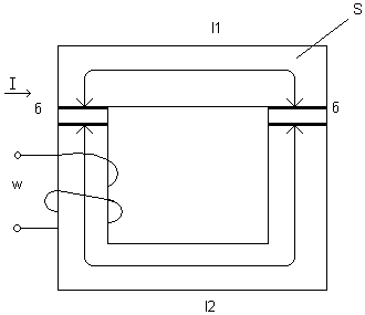
2. Участки магнитной цепи. При расчёте магнитопровод разбивают на участки.

По какому признаку делится магнитная цепь на участки (рис. 2)? Участок должен быть выполнен из одного материала, и в пределах участка должна оставаться постоянной напряжённость магнитного поля

(1)

где S и μа – соответственно площадь поперечного сечения и абсолютная магнитная проницаемость участка цепи.

ζ2
ζ1
А
Б
В
Г
δ
δ
I
IV
III
II
I, II – Стальные; III, IV – Воздушные зазоры
Рис.2
Учитывая, что в неразветвлённой цепи магнитный поток Ф один и тот же вдоль всей, разделим её на участки с постоянным S и μа. Таких участков оказывается четыре (рис.2):

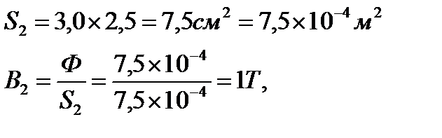
Участок I, площадь поперечного сечения которого S1=25×25=625 мм2= 6,25×10-4 м2, магнитная индукция

и по кривой намагничивания напряжённость поля H1=1300 А/м (точка Б на рис.2):

и Н2=920 А/м (точка А на рис.2).

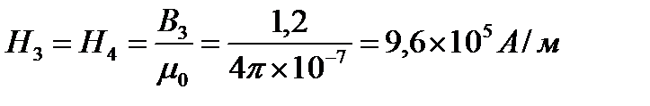
Участки III и IV – воздушные промежутки (зазоры). Ввиду малости их длины по сравнению с поперечными размерами площадь их поперечного сечения такая же, как и для участка I, т.е. S3=S4=S1=6,25 см2. Соответственно и магнитная индукция B4=B3=B1=1,2 T.

Магнитная проницаемость воздуха практически равна магнитной постоянной μ0=4π×10-7 Г/м, поэтому напряжённость поля

3. Вычисление тока в катушке. Применяя закон полного тока к средней магнитной линии (контур АБВГА на рис.2), можно определить н.с. (Iω) катушки как сумму магнитных напряжений (Hℓ) вдоль указанного контура. Действительно,

Iω=H11+H22 +H33 +H44 (2)

По размерам магнитопровода определяем ℓ1=29 см, ℓ2=10,5 см. Кроме того, по условию задачи ℓ3=ℓ4=0,025 см.

Подставляя найденные значения H и ℓ в уравнение (2) получаем:

откуда

 

 

Расчёт неразветвлённой магнитной цепи.

  1. Взять данные для своего варианта из таблицы в соответствии с № по журналу.
  2. Рассчитывать величины, неизвестные в таблице.

3.Отчет по практической работе оформить на бланке.

 

 


Таблица данных рис.1.

 

 

№ n\n w Вт I А Ф Вб l1 м l2 м б м S м
    1,5   0,72 0,22 2,7*10-4 7,5*10-4
      6,5*10-4 0,77 0,22 2,7*10-4 7,5*10-4
    1,3   0,82 0,22 3,2*10-4 8*10-4
      7,5*10-4 0,87 0,22 3,2*10-4 8*10-4
        0,5 0,15 1,3*10-4 4*10-4
 






Date: 2015-06-08; view: 3167; Нарушение авторских прав



mydocx.ru - 2015-2026 year. (1.157 sec.) Все материалы представленные на сайте исключительно с целью ознакомления читателями и не преследуют коммерческих целей или нарушение авторских прав - Пожаловаться на публикацию