Главная
Случайная страница
Полезное:
Как сделать разговор полезным и приятным
Как сделать объемную звезду своими руками
Как сделать то, что делать не хочется?
Как сделать погремушку
Как сделать так чтобы женщины сами знакомились с вами
Как сделать идею коммерческой
Как сделать хорошую растяжку ног?
Как сделать наш разум здоровым?
Как сделать, чтобы люди обманывали меньше
Вопрос 4. Как сделать так, чтобы вас уважали и ценили?
Как сделать лучше себе и другим людям
Как сделать свидание интересным?
Категории:
АрхитектураАстрономияБиологияГеографияГеологияИнформатикаИскусствоИсторияКулинарияКультураМаркетингМатематикаМедицинаМенеджментОхрана трудаПравоПроизводствоПсихологияРелигияСоциологияСпортТехникаФизикаФилософияХимияЭкологияЭкономикаЭлектроника
|
Интегрирование по частям в неопределенном интеграле
Метод вычисления интегралов, называемый интегрированием по частям, основан на правиле дифференцирования произведения.
Пусть — функции, дифференцируемые на некотором промежутке . Тогда, как известно, дифференциал произведения этих функций вычисляется по формуле

Взяв неопределенный интеграл от обеих частей этого равенства, получим:
Так как , а ,
то получаем: , откуда .
Поскольку уже содержит произвольную постоянную, в правой части полученного равенства можно опустить и записать равенство в виде

Полученная формула называется формулой интегрирования по частям.
При выводе формулы (1) мы предположили, что функции и дифференцируемы. Этой формулой обычно пользуются в тех случаях, когда подынтегральное выражение проще, чем подынтегральное выражение .
Заметим, что одно и то же подынтегральное выражение можно различными способами записать в виде . Например,
и т. д. Поэтому иногда приходится испытывать различные формы такой записи, прежде чем метод приведет к успеху. Обычно стараются подынтегральное выражение разбить на части и так, чтобы вид был не сложнее, чем вид , а вид проще, чем вид . В частности, полезно иметь в виду, что для таких функций, как , производные имеют вид более простой, чем сами функции. Поэтому в большинстве случаев эти функции удобно принимать за функцию .
| 6. Интегрирование рациональных функций
| | | Для интегрирования рациональной функции , где P (x) и Q (x) - полиномы, используется следующая последовательность шагов:
- Если дробь неправильная (т.е. степень P (x) больше степени Q (x)), преобразовать ее в правильную, выделив целое выражение;
- Разложить знаменатель Q (x) на произведение одночленов и/или несократимых квадратичных выражений;
- Разложить рациональную дробь на простейшие дроби, используя метод неопределенных коэффициентов;
- Вычислить интегралы от простейших дробей.
Рассмотрим указанные шаги более подробно.
Шаг 1. Преобразование неправильной рациональной дроби
Если дробь неправильная (т.е. степень числителя P (x) больше степени знаменателя Q (x)), разделим многочлен P (x) на Q (x). Получим следующее выражение:
где - правильная рациональная дробь.
Шаг 2. Разложение знаменателя на простейшие дроби
Запишем многочлен знаменателя Q (x) в виде
где квадратичные функции являются несократимыми, то есть не имеющими действительных корней.
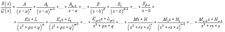
Шаг 3. Разложение рациональной дроби на сумму простейших дробей.
Запишем рациональную функцию в следующем виде:
Общее число неопределенных коэффициентов Ai, Bi, Ki, Li, Mi, Ni,... должно быть равно степени знаменателя Q (x). Затем умножим обе части полученного уравнения на знаменатель Q (x) и приравняем коэффициенты при слагаемых с одинаковыми степенями x. В результате мы получим систему линейных уравнений относительно неизвестных коэффициентов Ai, Bi, Ki, Li, Mi, Ni,.... Данная система всегда имеет единственное решение. Описанный алгоритм представляет собой метод неопределенных коэффициентов.
Шаг 4. Интегрирование простейших рациональных дробей.
Простейшие дроби, полученные при разложении произвольной правильной рациональной дроби, интегрируются с помощью следующих шести формул:
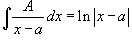
1.
2.
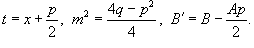
У дробей с квадратичным знаменателем сначала необходимо выделить полный квадрат:
где Затем применяются следующие формулы:
3.
4.
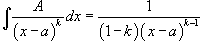
5.
Интеграл может быть вычислен за k шагов с помощью формулы редукции
6.
|
Date: 2015-06-08; view: 1023; Нарушение авторских прав | Понравилась страница? Лайкни для друзей: |
|
|