Главная Случайная страница


Полезное:

Как сделать разговор полезным и приятным Как сделать объемную звезду своими руками Как сделать то, что делать не хочется? Как сделать погремушку Как сделать так чтобы женщины сами знакомились с вами Как сделать идею коммерческой Как сделать хорошую растяжку ног? Как сделать наш разум здоровым? Как сделать, чтобы люди обманывали меньше Вопрос 4. Как сделать так, чтобы вас уважали и ценили? Как сделать лучше себе и другим людям Как сделать свидание интересным?


Категории:

АрхитектураАстрономияБиологияГеографияГеологияИнформатикаИскусствоИсторияКулинарияКультураМаркетингМатематикаМедицинаМенеджментОхрана трудаПравоПроизводствоПсихологияРелигияСоциологияСпортТехникаФизикаФилософияХимияЭкологияЭкономикаЭлектроника






Дни месяца





Для каждого человека определяется 6 особых дней месяца. Три из них благоприятны - дни основы, силы и успеха, а три не благоприятны - дни препятствий, провокаций и врага. Эти 6 особых дней представлены в табл. 12 для каждого из 12 натальньщ животных. О смысле этих дней более или менее говорят их назва ния. В день успеха хорошо начинать или завершать важные дела День врага можно понимать как день, в который победа в любьx видах единоборств (будь то соревнование, спор или сражение останется на стороне врага. Слово «провокация» в данном случае используется в смысле того или иного негативного воздействия. Заметим, что тибетцы среди различных видов провокаций особое внимание уделяли провокациям со стороны вредоносных духов (внешних, внутренних и тайных демонов), о чем будет подробнее сказано в разд. 5.1.

 

Животные Основа Сила Успех Препят­ствие Прово­кация Враг
Мышь            
Бык            
Тигр            
Заяц            
Дракон            
Змея   12        
Лошадь            
Овца            
Обезьяна            
Птица            
Собака            
Свинья            

Таблица 12. Индивидуальные дни месяца [2].

Созвездия

Для каждого человека определяется 6 особых созвездий. Taкже, как и в случае дней месяца, три из них благоприятны - созвездия Ла, Сог и Ванг, а три неблагоприятны - созвездия Гег, Дуд и Шед. Эти 6 особых созвездий представлены в табл. 13. В случае если созвездие дня (см. разд. 2.5), совпадает с одним из этих 6 созвездий, то день приобретает для данного человека характер, со­ответствующий характеру созвездия. При этом надо учитывать то, что некоторые дни могут управляться не одним, а двумя со­звездиями. Как уже говорилось в разд. 2.6, такие дни разбиваются на две части и для каждой из них следует составлять отдельный прогноз.

Значение шести созвездий следующее:

Созвездие Ла (bla skar) - благоприятно для всех действий. Рож­дение под созвездием Ла указывает на способности и долгую жизнь.

Созвездие Сог (srog skar) - также благоприятно, но менее важ­но, чем созвездие Ла.

Созвездие Ванг (dbang skar) - приносит силы и способности, победу в состязаниях и успех в делах. Рождение под созвездием Ванг указывает на большие духовные заслуги.

Созвездие Гег (keg skar) - «Препятствие», негативно влияет на жизнь и способности человека.

Созвездие Дуд (bdud skar) - «Демон». Негативная энергия этого созвездия противостоит энергии человека и благоприятна для враждебных воздействий. Разрушает жизненные силы, способности и позицию человека. Следует избегать важных дел.

Созвездие Шед (gshed skar). Крайне негативное созвездие, не благоприятное для всех действий. Рождение под ним указывает на короткую жизнь, так как считается, что Шед - созвездие смерти.

 

Таблица 13. Индивидуальные дни недели и созвездия

Например, определим для человека, родившегося 20 сентября 1963 года, его индивидуальные дни недели, дни месяца и созвездий. Его год рождения - это год водяного зайца. По табл. 13 определяем, что для зайца день Ла - четверг, день Сог - суббота, день Шед - пят­ница. По табл. 13 находим шесть индивидуальных дней месяца: день основы - 11-й день месяца, день силы - 27-й, день успеха - 12-й день препятствий - 26-й, день провокаций - 25-й, день врага -18-й. По табл. 13 находим 6 индивидуальных созвездий: созвездие Ла -10-е (Дре), созвездие Сог - 26-е (Намдру), созвездие Ванг -11-е (Во), со-1 звездие Гег - 25 (Груме), созвездие Дуд -14-е (Сари), созвездие Шед -17-е(Нён).

 

3.8 Аспекты Гюкар

 

В этом разделе будет изложена особая методика прогноза, которая интересна тем, что в ней состояние человека представлено не годом рождения, а натальным Гюкар, и, следовательно, требует знания дня и даже часа рождения. Поэтому с этой точки зрения это более тонкий метод, по сравнению с теми, о которых шла речь до сих пор. Для того, чтобы вычислить аспекты Гюкар, необходимо определить созвездие рассматриваемого дня и созвездие дня рож­дения. Способ определения созвездия дня уже известен читателю из разд. 2.5. Чтобы определить созвездие анализируемого дня, необходимо просто обратиться к тибетскому астрологическому календарю на текущий год. Большую проблему составляет натальный Гюкар, поскольку тибетский альманах за год рождения едва ли удастся найти. Поэтому единственный способ определить натальный Гюкар - это обратиться к эфемеридам Луны или исполь­зовать любую из многочисленных астрологических программ (неважно, какой традиции), которые как правило, выдают дан­ные относительно позиций всех планет. В качестве примера можно рассмотреть расчет натального Гюкар человека, родившегося 20 сентября 1963-го года в 10 часов по Гринвичу.


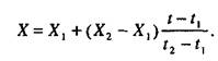
1. Определение позиции Луны в момент рождения. Если чита­тель пользуется астрологической программой, нужно просто задать в ней дату и час. Если используются таблицы, необходимо опереться на две ближайшие к моменту рождения табличные точки. Следует учитывать, что в эфемеридах обычно долготы планет указываются в О часов по Гринвичу. В нашем случае берем позиции Луны в 0 часов по Гринвичу 20 сентября 1963 г. - 20°23' в Весах и в 0 часов по Грин­вичу 21 сентября 1963 г. (что фактически есть 24 часа 20 сентября) - 2°24' в Скорпионе. Положение Луны X в интересующий нас час t определяется по формуле:

Здесь X1 и X2 - долгота Луны в табличные моменты t, и t2 соот­ветственно. В нашем случае X, = 200°23', Х2 = 212°24' (за начало отсчета взято начало Овна), t = 10 часов. Приблизительно имеем дол­готу Луны X = 205°24'.

2. Переход от тропической долготы к сидерической (см. разд.1.5). Из полученной долготы Луны тропического Зодиака вычитаем 35°, (см. разд. 1.5) получаем сидерическую долготу: 170°24'.

3. Определение Гюкар. Пользуясь табл. 1п, получаем что сиде­рическая долгота Луны попадает в диапазон 160° - 173°20', что соответствует 12-му Гюкар (Межи).

После того, как натальный Гюкар рассчитан, его следует сравнить с созвездием дня. Для этого нужно отсчитать число со­звездий, двигаясь от натального созвездия к созвездию дня в направлении обычной последовательности (то есть, по возраста­нию номеров созвездий). При этом, как следует из примера, приведенного Ф. Корну, считать нужно начинать с натального созвездия, так что совпадение созвездия дня с натальным соответствует единице. Полученное число нужно разделить на 9 и взять остаток деления - это может быть число от 0 до 8. Этот остаток и является основой для астрологической интерпретации36 (табл. 14). Теперь, продолжая пример по расчету катального Гюкар, вычислим аспекты этого Гюкар на утро 20 мая 2000 года (когда действует первое созвездие дня). Первым созвездием этого дня у нас является созвездие номер 16 - Лхацам. Считаем, начиная с: натального созвездия (12) к созвездию дня (16), получаем 5. Де­лим это число на 9 и имеем остаток, равный 5. Таким образом, мы имеем аспект Гюкар, предвещающий препятствие.

 

[36] Что касается остатка от деления 0 (т.е. случаи, когда полученное число гюкар, разделяющее созвездия равно 9,18 или 27, то к сожалению Корну, которому мы в данном случае следуем, не приводит никакой информации, так что этот момент требует дальнейшего уточнения. С другой стороны, обычно в тибетской астроло­гии совпадение натальных и текущих характеристик считается неблагоприятным аспектом, поэтому можно предположить, что остаток 0 скорее всего указывает на проблемы.


 

Остаток Значение
  Опасность для тела
  Материальное благополучие
  Опасность, потери и несчастные случаи
  Материальное благополучие
  Препятствие
  Действия успешны, приобретения
  Опасность смерти
  Наилучший день

Табл. 14 Аспекты Гюкар [2].

 

3.9 Элементы тибетской геомантии

В тибетской астрологии существует еще один особый вид индивидуального прогноза, который в то же время можно отнести к разделу геомантии. Пользуясь этой методикой, каждый год для данного человека можно определить четыре благоприятных и четыре неблагоприятных для него направления (сторон света). Исходной характеристикой для такого расчета является индивидуальное Парка (babs par kha - «наступившее Парка»), которое определя­ется в зависимости от пола и возраста следующим образом:

Для мужчин год рождения управляется Парка Ли, далее Парка сменяются ежегодно, двигаясь по часовой стрелке (рис.4). Так, в воз­расте 2 года - Кхон, 3 года - Да и т.д.

Для женщин год рождения управляется Парка Кхам, далее Пар­ка следуют против часовой стрелки: 2 года - Кхен, 3 года - Да и т.д.

Через каждые 8 лет жизни человека цикл Парка повторяет­ся. Напомним, что речь идет о тибетском способе определения возраста, который был уже описан в разд.3.4.

После того как индивидуальное Парка найдено, на его ос­нове определяется характер сторон света для данного человека. Для этого выясняется тип взаимосвязи между индивидуальным Парка и Парка, управляющим соответствующим направлением. Всего существует восемь возможных типов взаимосвязи, которые перечислены в таблице 15.

 

Вид взаимосвязи   Парка
Рассечение тела Кхен-Кхам, Ли-Кхон, Зон-Да, Зин-Кин
Небесное лекарство О Ли-Кхам, Кхен-Кхон, Да-Гин, Зин-Зон
Пять демонов Да-Ли, Кхон-Зон, Кхен-Зин, Гин-Кхам
Отсекающий демон Ли-Кхен, Да-Зин, Кхон-Кхам, Гин-Зон
Процветание О Зон-Ли, Кхон-Да, Гин-Кхен, Кхам-Зин
Нанесение вреда Ли-Гин, Зон-Кхен, Да-Кхам, Зин-Кхон
Поддержка жизни О Ли-Зин, Кхам-Зон, Да-Кхен, Гин-Кхон
Благая весть О Да-Да, Ли-Ли, Кхен-Кхен, Гин-Гин, Кхон-Кхон, Кхам-Кхам, Зин-Зин, Зон-Зон

 

Таблица 15. Взаимоотношения между Парка [2].

 

 

 

Таблица 16. Геомантическая диаграмма.

Возникающее в результате такой методики распределение по направлениям представляют на геомантической диаграмме (табл.16). Чтобы воспользоваться ею, нужно определить индиви­дуальное Парка и найти его на диаграмме. Восемь клеток, окружающие его, показывают, какому виду взаимосвязи соответ­ствует каждая из восьми сторон света (для данного человека в данном году).


В тибетском альманахе на каждый вид взаимосвязи даются со­ответствующие рекомендации. Если элементы повреждены, то рекомендуется делать То (gto). To - это общее название магической церемонии для предотвращения несчастий. Смысл восьми видов вза­имосвязи следующий:

1. «Рассечение тела» (lus chad) - букв, наказание, расчленение тела. Может быть повреждена определенная часть тела, соответ­ствующая индивидуальному парка, а также Ла человека. Согласно Пунцогу, Парка Ли соответствует голова, Кхон левая рука, Да - левые ребра, Кхен - левая нога, Кхам - мужской член, Гин - пра­вая нога, Зин - правые ребра, Зон - правая рука. Альманах рекомендует делать ритуал выкупа Ла.

2. «Небесное лекарство» (gnam sman) - букв, небесное (бо­жественное) лекарство. Благоприятно для лечения болезней и медицинских процедур. Альманах рекомендует заготовлять лекар­ственное сырье в соответствующем направлении.

3. «Пять демонов» (srog 'tsho ‘dre lnga) - букв, пять злых духов. Возможны зловредные воздействия. Рекомендуется помещать в этом направлении диаграмму выкупа, символизирующую человека и его имущество, чтобы обмануть демонов.

4. «Отсекающий демон» (bdud gcod) - букв, демон, отсекаю­щий (жизнь). Угроза жизни, поскольку в данном случае имеются в виду демоны, крадущие жизненную силу. В этом направлении реко­мендуется положить Пурбу. Альманах рекомендует бросать в этом
направлении жертвенную фигурку Сор (zor).

5. «Процветание» (dpal bskyed) - букв, увеличение счастья, бла­госостояния. Благоприятно для удачи. Альманах рекомендует выполнять ритуал славы и богатства (g.yang)

6. «Нанесение вреда» (gdon pa) - букв, нанесение вреда, насылание болезни, препятствий, ущерба. Альманах рекомендует делать ритуал отбрасывания негативностей Догпа (bzlog pa).

7. «Поддержка жизни» ('dre lang srog 'tsho) - букв, поддерж­ка, продление жизни. Хороша для Сог, альманах рекомендует спать головой в этом направлении.

8. «Благая весть» (phya lon) - букв, послание (счастливой) судьбы. Хороший знак для путешествия. Альманах указывает, что с этого направления может прийти благой совет, наставление.

Все эти рекомендации относятся именно к тому направле­нию, которым они управляют. В частности, когда речь идет о необходимости выполнять ритуалы, с одной стороны это может означать, что, если данный ритуал содержит какие-либо действия, которые связаны со сторонами света, их нужно выполнять имен­но в данном направлении. С другой стороны, вероятно, весь ритуал в целом полезно выполнять в тех случаях, когда возникают те или иные проблемы или враждебные воздействия, каким-либо образом связанные с данным направлением.

Аналогичные принципы интерпретации можно использовать и в других случаях, причем трактовки могут приобретать значительную глубину. По существу последовательное примене- ние этой оригинальной геомантической методики может означать, проецирование всего измерения человека на мандалу сторон света, когда все аспекты его жизни и деятельности ставятся в соответствие с конкретными направлениями.

 







Date: 2015-06-07; view: 1158; Нарушение авторских прав



mydocx.ru - 2015-2026 year. (0.493 sec.) Все материалы представленные на сайте исключительно с целью ознакомления читателями и не преследуют коммерческих целей или нарушение авторских прав - Пожаловаться на публикацию