Главная Случайная страница


Полезное:

Как сделать разговор полезным и приятным Как сделать объемную звезду своими руками Как сделать то, что делать не хочется? Как сделать погремушку Как сделать так чтобы женщины сами знакомились с вами Как сделать идею коммерческой Как сделать хорошую растяжку ног? Как сделать наш разум здоровым? Как сделать, чтобы люди обманывали меньше Вопрос 4. Как сделать так, чтобы вас уважали и ценили? Как сделать лучше себе и другим людям Как сделать свидание интересным?


Категории:

АрхитектураАстрономияБиологияГеографияГеологияИнформатикаИскусствоИсторияКулинарияКультураМаркетингМатематикаМедицинаМенеджментОхрана трудаПравоПроизводствоПсихологияРелигияСоциологияСпортТехникаФизикаФилософияХимияЭкологияЭкономикаЭлектроника






Порядок выполнения работы и обработки результатов измерений





Упражнение 1. Определение ускорения свободного падения.

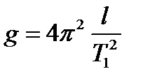
Зная длину математического маятника l, период колебания этого маятника Т1, используя формулу (4) можно определить

. (7)

1. Используя винты в основании установки, выставить ее по от­весу. Установить произвольную длину математического маятника. Счетчик колебаний и времени установить под математическим ма­ятником так, чтобы маятник при движении пересекал луч света, по­падающий на фотоэлемент счетчика.

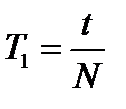
2. Отклонить на малый угол математический маятник и изме­рить время t N = 50 колебаний. Результат занести в табл. 1. Эти измерения повторить 10 раз.

3. Вычислить период колебания математического маятника по формуле . Результат занести в табл.1.

Таблица № 1.

Определение периода колебания математического маятника

Порядок измерения t, с T, с
         
         
         
         
         
         
         
         
         
         
Сумма ----   -------  

4. Вычислить среднее выборочное значение периода математиче­ского маятника по формуле

,

где п – число измерений. Результат занести в таблицу 1.

5. Вычислить среднее квадратичное значение выборочного сред­него значения по формуле

.

6. Задать самостоятельно значение доверительной вероятности γ; определить по таблицам коэффициент Стьюдента tγ,n и вычислить значение доверительного по формуле

.

7. Записать окончательный результат измерений и вычислений периода колебания математического маятника в виде

, при γ =

8. Измерить один раз длину математического маятника. Рассчи­тать доверительный интервал для этого измерения и результат записать в виде

.

9. Рассчитать по формуле (5) среднее выборочное значение для ус­корения свободного падения тела.

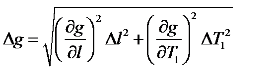
10. Рассчитать доверительный интервал для определения ускорения свободного падения тела по формуле

.

11. Результат определения ускорения свободного падения тела за­писать в виде

, при γ =

12. Сравнить полученное значение ускорения свободного падения с известными данными. Рассчитать относительную погрешность .







Date: 2015-05-04; view: 1214; Нарушение авторских прав



mydocx.ru - 2015-2026 year. (1.407 sec.) Все материалы представленные на сайте исключительно с целью ознакомления читателями и не преследуют коммерческих целей или нарушение авторских прав - Пожаловаться на публикацию