Главная Случайная страница


Полезное:

Как сделать разговор полезным и приятным Как сделать объемную звезду своими руками Как сделать то, что делать не хочется? Как сделать погремушку Как сделать так чтобы женщины сами знакомились с вами Как сделать идею коммерческой Как сделать хорошую растяжку ног? Как сделать наш разум здоровым? Как сделать, чтобы люди обманывали меньше Вопрос 4. Как сделать так, чтобы вас уважали и ценили? Как сделать лучше себе и другим людям Как сделать свидание интересным?


Категории:

АрхитектураАстрономияБиологияГеографияГеологияИнформатикаИскусствоИсторияКулинарияКультураМаркетингМатематикаМедицинаМенеджментОхрана трудаПравоПроизводствоПсихологияРелигияСоциологияСпортТехникаФизикаФилософияХимияЭкологияЭкономикаЭлектроника






Перекачка нефти и нефтепродуктов





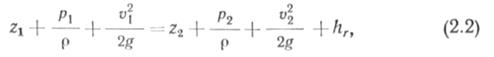
В соответствии с законом Бернулли для идеальной жидкости, характеризуемой отсутствием сил трения при движении, полная удельная энергия жидкости при движении по трубопроводу яв­ляется постоянной для всех сечений. Это условие, как известно из курса гидравлики, описывается уравнением Бернулли для идеальной жидкости

где z — положение центра живого сечения жидкости над пло­скостью сравнения (рис. 2.1); р — гидродинамическое давление в жидкости; v — скорость движения жидкости; р — плотность жидкости; g — ускорение свободного падения.

В реальной жидкости при движении возникают силы тре­ния; вследствие работы, затрачиваемой на преодоление сил трения, энергия жидкости должна уменьшаться вдоль трубо­провода по направлению течения. Следовательно, уравнение (2.1) для реальной жидкости не будет действительным. В урав­нении (2.1) необходимо учесть потери энергии вдоль трубо­провода. В соответствии с интерпретацией отдельных состав­ляющих полной энергии потока в (2.1) обозначим составляю­щую, учитывающую потери на трение, hr. Тогда для двух различных сочетаний уравнение движения жидкости, которая называется реальной, записывается в виде

где индексы «1», «2» характеризуют z, р, и в произвольных се­чениях /, //.

На рис. 2.1 показан участок трубопровода. В случае идеаль­ной жидкости в соответствии с (2.1)

и линия 0101 будет горизонтальной (линия 00 показывает

 

плоскость, по которой ве­дется сравнение напо­ров). Следовательно, для идеальной жидкости пе­рекачка могла бы осуще­ствляться без затрат на преодоление сил трения. Для реальной жидкости положение точки 0\ в се­чении II—II изменяется из-за потери напора на трение hr. Линия 0101 получает наклон но на правлению потока.

 

С энергетической точки зрения hr является мерой удельной энергии, теряемой на выполнение работы по преодолению сил трения на пути от сечения I—I до сечения II—II. Падение напорной линии, приходящееся на единицу длины, называют гидравлическим уклоном и обозначают как

Как видно из (2.3), гидравлический уклон для реальной жидкости всегда является положительным, и только для иде­альной жидкости i = 0, поскольку hr = 0.

Таким образом, для осуществления перекачки по трубопро­воду реальной жидкости необходимо затрачивать энергию на преодоление сил трения по всей длине трубопровода. Такая работа выполняется перекачивающими насосными станциями, которые поднимают давление в трубопроводе до уровня, обес­печивающего компенсацию потерь напора на участке трубопро­вода. Для осуществления движения перекачиваемого продукта вдоль всей длины трубопровода необходимо сооружение не­скольких насосных станций (НС). На каждой НС создается максимальное давление (напор), которое падает по длине до минимально допустимого значения (рис. 2.2). Соответственно давление в трубопроводе изменяется по его длине, что создает различные статические условия в разных сечениях для работы трубы как несущей конструкции.

В настоящее время применяют две генеральные схемы пере­качки: перекачка нефти и нефтепродукта одного вида (рис. 2.3, а) и перекачка по одному трубопроводу последовательно отличающихся по свойствам нефтепродуктов (рис. 2.3, 6). В первом случае плотность жидкости неизменна по всей длине трубопровода (если не учитывать влияния изменения тем­пературы на плотность), и это создает одинаковые условия ра­боты для всех насосных станций, что благоприятно сказывается на режиме работы трубопровода в целом. Все НС при одина­ковом их удалении друг от друга развивают одинаковый напор, мощность насосов используется полностью. Во втором случае в трубопровод последовательно закачиваются различные по свойствам нефтепродукты (например, нефть 1 — бензин 2 — дизтопливо 3 — нефть 4 и т. д.). Плотности этих жидкостей, вязко­сти и другие показатели отличаются друг от друга. Поэтому режим работы насосных станций меняется в зависимости от того, какой продукт находится в зоне действия той или иной станции. При переходе на перекачку продукта нового вида необходимо регулировать работу насосов, так как перекачка менее вязких и менее плотных продуктов (например, бензина) требует меньшего давления, а тяжелых — большего. Следова­тельно, станция, перекачивающая, например, тяжелую нефть в зоне /, должна работать на полную мощность, а станция в зоне 2 (легкий бензин) будет недогруженной. Эти особенно­сти перекачки должны учитываться уже при проектировании трубопровода, ибо, несмотря на усложнение процесса пере­качки, необходимость последовательной перекачки диктуется прежде всего тем, что строить параллельно два трубопровода не всегда целесообразно. Действительно, всегда ли имеет смысл строить один трубопровод, например, для перекачки дизтоплива, а другой — бензина, если они будут транспортировать их с одного нефтеперерабатывающего завода в один и тот же пункт потребления. Ответ на этот вопрос может дать лишь тщательный учет экономических и технических его сторон.


Магистральный нефтепровод обычно сооружают в виде од­ной нитки трубопровода. Однако часто вдоль основной нитки на отдельных участках сооружают лупинги, увеличивая тем са­мым пропускную способность трубопровода и уменьшая потери напора, что позволяет увеличить расстояние между насосными станциями.

Насосные станции подразделяют на два основных вида: го­ловные (ГНС) и промежуточные (ПНС). ГНС предназначены для подачи нефти в трубопровод, а ПНС — для поддержания не­обходимого режима перекачки, обеспечивающего по трубопро­воду пропуск определенного объема нефти. Остановимся на тех­нологической характеристике этих сооружений. Каждая ПНС имеет насосный цех с установленными в них насосами и привод­ными двигателями, манифольд — помещение, в котором располо­жены всасывающие и нагнетательные коллекторы: обводные трубопроводные линии, задвижки, обратные клапаны. На всех ГНС и большинстве ПНС имеются резервуарные парки. На ГНС эти парки содержат емкости для создания и хранения необходимого запаса продукта. Поэтому общий объем таких резервуарных парков велик и может достичь 1—2 млн. м3. На ПНС резервуары имеют чисто технологическое назначение, а также служат для приема нефти в случае кратковременных остановок перекачки.

На рис. 2.4 изображены основные схемы перекачки нефти через ПНС, имеющие в своем составе резервуары. Первая схема (рис. 2.4, а).

Нефть принимается с предыдущей станции в приемный резервуар П, а подается на следующую станцию из другого резервуара Р, называемого расходным. Эта схема позволяет вести учет нефти, поступающей с предыдущей стан­ции, и нефти, закачиваемой с данной на следующий перегон. При такой схеме перекачки неизбежны значительные потери нефтепродукта за счет испарения, поскольку герметизация ре­зервуаров несовершенна. Необходимость поочередного запол­нения и опорожнения резервуаров обусловливает так называе­мые «большие дыхания», при которых большие объемы смеси воздуха и легких фракций нефти выбрасываются наружу.

Вторая схема (рис. 2.4, б). Нефть поступает в резервуар ПР, из которого она одновременно откачивается на следующий перегон. Такой резервуар называют приемно-расходным. В этом случае «большие дыхания» отсутствуют, но интенсивное пере­мешивание нефти способствует ее интенсивному испарению и соответственно увеличению потерь нефтепродуктов, резервуар В при этом выключен.

Третья схема (рис. 2.4, в). Перекачка осуществляется но схеме с подключенным резервуаром К, который играет роль буферной емкости для выравнивания неравномерностей подачи нефти с предыдущей НС и закачиваемой в трубопровод на дан­ной НС. Поскольку разница в объемах перекачки незначительна, то уровень нефти в резервуаре К будет медленно колебаться без бурного перемешивания нефти. Это в значительной мере способствует уменьшению потерь от испарения. Применение же резервуаров с «плавающей крышей» позволяет практически пол­ностью предотвратить потери от испарений.


Четвертая схема (рис. 2.4, г). Резервуары полностью отклю­чают от магистрали, а подача нефти из предыдущего перегона осуществляется сразу к насосам. Такая схема перекачки нефти называется схемой «из насоса в насос». Резервуары в этой схеме используются лишь при остановках НС в аварийных си­туациях или при ремонтах.Эта схема является основной для


ПНС, не имеющей в своем составе резервуаров. Однако пере­качка по схеме «из насоса в насос» требует обеспечения син­хронизации объема перекачиваемого продукта на всех НС, что не всегда возможно.

При перекачке по первой схеме с двумя резервуарами /, // (рис. 2.5, а) следует открыть задвижки / и 4, остальные за­крыть; с четырьмя резервуарами /, //, ///, IV (рис. 2.5, б) -открыть, например, задвижки 1 и 8, остальные закрыть. По второй схеме с двумя резервуарами открыты, например, за­движки / и 2, а остальные закрыты; с четырьмя резервуарами открыты, например, задвижки 5 и 6 (или 7 и 8), а остальные закрыты. По третьей схеме с двумя резервуарами открыты задвижки 3 и 5, а остальные закрыты; с четырьмя — открыты 7 и 9, остальные закрыты. Наконец, по четвертой схеме все задвижки кроме 5 в первом случае и 9 во втором закрыты, и резервуары имеют чисто профилактическое значение, так как в процессе перекачки они не участвуют.

Остановимся далее на схемах движения нефти через на­сосы ПНС. Обвязка насосов позволяет вести перекачку по двум схем.чм: последовательной (рис. 2.6, а) и параллельной (рис. 2.6, 6} При последовательной перекачке нефть.поступает из резервуаров, проходя через очистные фильтры Ф1, Ф2. Подпор­ные насосы П1, П2 создают необходимый подпор для нормаль­ной работы грузовых насосов Г1, Г2, Г3. В линии каждого насоса устанавливается обратный клапан 1 - К5), не позволяющий нефти двигаться в обратном направлении. Для отключения на­сосов в линии обвязочных трубопроводов устанавливаются за­движки (1 - 15).







Date: 2015-06-07; view: 3115; Нарушение авторских прав



mydocx.ru - 2015-2026 year. (0.316 sec.) Все материалы представленные на сайте исключительно с целью ознакомления читателями и не преследуют коммерческих целей или нарушение авторских прав - Пожаловаться на публикацию