Главная Случайная страница


Полезное:

Как сделать разговор полезным и приятным Как сделать объемную звезду своими руками Как сделать то, что делать не хочется? Как сделать погремушку Как сделать так чтобы женщины сами знакомились с вами Как сделать идею коммерческой Как сделать хорошую растяжку ног? Как сделать наш разум здоровым? Как сделать, чтобы люди обманывали меньше Вопрос 4. Как сделать так, чтобы вас уважали и ценили? Как сделать лучше себе и другим людям Как сделать свидание интересным?


Категории:

АрхитектураАстрономияБиологияГеографияГеологияИнформатикаИскусствоИсторияКулинарияКультураМаркетингМатематикаМедицинаМенеджментОхрана трудаПравоПроизводствоПсихологияРелигияСоциологияСпортТехникаФизикаФилософияХимияЭкологияЭкономикаЭлектроника






Порядок выполнения работы





Построим математическую модель задачи потребительского выбора:

 

 

где n=2 – число потребляемых товаров или благ, – потребительский набор, -функция полезности потребителя.

Набор, который является решением задачи потребительского выбора, называется оптимальным потребительским набором, или точкой локального рыночного равновесия потребителя. Поставленная задача – задача потребительского выбора – является задачей нелинейного программирования.

Рассмотрим возможности построения и исследования модели потребительского выбора с использованием ППП MathCad и «MS Excel». Применяя MathCad, откроем рабочий лист, определим целевую функцию и ограничения, зададим начальные условия и в решающем блоке под ключевым словом «Given» сформулируем задачу и применим функцию «Maximize», реализующую метод сопряженных градиентов. При использовании для расчетов ЭТ «MS Excel» применяется модуль «Поиск решения», предназначенный для решения задач нелинейного программирования.

Для инициации процесса решения следует внимательно подойти к выбору начальных значений искомых переменных. В общем случае учитываются особенности требований применяемого метода и наличие априорной информации. Исследовав свойства рассматриваемой функции полезности, представленной функцией Стоуна, в данном случае в качестве начального приближения может быть взята любая точка из области допустимых решений, удовлетворяющая условию

Процесс решения представлен на рисунках 1 и 2. Анализируя результаты, можно сделать вывод, что потребитель выберет первое благо в количестве x 1=97 единиц, второе благо в количестве х 2=43 единицы, при этом полезность набора составит =600,23.

 

 

Рисунок 1 – Решение задачи потребительского выбора в системе «MathCad»

 

 

Рисунок 2 – Решение задачи потребительского выбора в ЭТ «MS Excel»

На представленном ниже рисунке 3 изображено взаимное расположение кривой безразличия и бюджетной прямой в точке локального рыночного равновесия потребителя.

 

 

Рисунок 3 – Геометрическая интерпретация решения задачи потребительского выбора

 

Предположим, что цена второго блага повысилась на 10 единиц и стала равна 130 единицам. Решение задачи представлено на рисунке 4.

В этом случае оптимальным выбором будет набор В, в котором х 1=97, х 2=40, а полезность составляет 565,86 единиц. В результате уровень полезности будет снижен, для сохранения которого возможно предусмотреть компенсацию дохода.

С любой задачей математического программирования связана двойственная с ней задача. В математической экономике исходят из того, что индивиды максимизируют свою полезность при заданном бюджетном ограничении. Это и есть исходная задача потребителя. Двойственной к ней задачей является задача минимизация расходов, которые необходимо сделать потребителю для того, чтобы достичь некоторого заданного уровня полезности.

 

 

 

Рисунок 4 - Решение задачи при увеличении цены второго товара в ППП ЭТ «MS Excel»

 

Задача минимизации расходов при заданном уровне полезности имеет следующий вид:

 

 

Таким образом, для определения величины компенсации следует решить двойственную задачу, которая для рассматриваемого примера будет иметь вид:

 

 

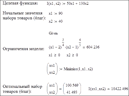
Решим полученную задачу оптимизации в ППП «Mathcad» и ЭТ «MS Excel», аналогично решению задачи потребительского выбора (рисунки 5 и 6).

Таким образом, если цена 2 товара повысилась и стала равной 130 ед., то доход должен достичь величины 10422 ед. При этом потребление первого блага возрастет на 4 единицы, а потребление второго блага снизится на 2 единицы.

 

 

Рисунок 5 - Решение двойственной задачи в ППП «Mathcad»

 

 

Рисунок 6 - Решение двойственной задачи в ППП ЭТ «MS Excel»

 

Графическая интерпретация решения представлена на рисунке 7.

На рисунке 8 проиллюстрировано расположение бюджетных линий и кривых безразличия для трех, описанных выше случаев, а также указаны: первый оптимальный набор потребителя А, второй оптимальный набор потребителя В (в случае изменения цены без компенсации), набор С, который является оптимальным в случае компенсационного изменения дохода.

 

Рисунок 7 – Геометрическая интерпретация решения двойственной задачи

 

С
В
А

 

Рисунок 8 – Общая геометрическая интерпретация решения задачи потребительского выбора для трех случаев


Перейдем к вопросу построения функции спроса.

Оптимальный потребительский набор – точка локального рыночного равновесия потребителя – получен при фиксированных ценах и доходе, следовательно, при изменении дохода или цен изменится и оптимальный выбор потребителя. Множество координат решения задачи потребительского выбора есть функция дохода и цен, называемая функцией спроса:

 

 

Для построения функции спроса запишем задачу потребительского выбора в общем виде:

 

 

Согласно теории полезности отношение предпочтения обладает свойствами сравнимости, транзитивности, рефлексивности, непрерывности, строгой выпуклости. Представляющая это отношение предпочтения функция полезности является непрерывной, возрастающей, строго квази-вогнутой и дифференцируемой во всех точках. Потребитель может потреблять только неотрицательные количества каждого блага. Кроме того, бюджетное множество является ограниченным, замкнутым, непустым и выпуклым, следовательно, предпосылка о строгой выпуклости отношения предпочтения позволяет переписать бюджетное ограничение - неравенство в виде равенства:

 

.

 

Экономически это означает, что поскольку функция полезности является возрастающей, то потребитель максимизируя полезность, будет вынужден расходовать весь свой доход на покупку товаров и услуг.

Для решения задачи (построения аналитических функций спроса) с ограничением в форме равенств запишем функцию Лагранжа:

 

.

 

Необходимым условием максимума функции Лагранжа является равенство нулю ее частных производных по благам x 1, x 2 и неопределенному множителю l. Найдя частные производные и приравнивая их к нулю, получим систему:

 

 

Решая систему относительно x1 и x2, получим следующие функции спроса:

Для функции полезности Стоуна денежные расходы на покупку каждого из благ, входящих в товарный набор, составляют постоянную долю от дохода, которая определяется предпочтениями потребителя в отношении этих благ. Так, на покупку первого блага потребитель всегда будет расходовать часть своего дохода, а на покупку второго блага: часть своего дохода, независимо от цен этих благ.

Такого рода функции называются функциями некомпенсированного спроса потребителя. Их также называют функциями маршаллианского спроса в честь великого английского экономиста Альфреда Маршалла.

Далее проведем анализ построенных функций.

Исследуем влияние изменения дохода.

;

,

 

следовательно, товары являются ценными, и спрос на них возрастает по мере увеличения дохода. В этом случае определяют коэффициенты эластичности спроса по доходу, что позволит классифицировать товары.

Эластичность спроса по доходу определяется по формуле:

 

.

 

; =1,035.

 

; =0,965.

 

В оптимальной точке эластичность спросу по доходу на блага первого вида будет равна 1,035, на блага второго вида 0,965, что соответствует товарам со среднеэластичным спросом по доходу, или товарам второй необходимости. Это означает, что увеличение дохода на 1 % приведет к увеличению спроса также приблизительно на 1 %.

Анализируя влияние изменения цены можно сделать вывод, что рассматриваемые товары относятся к группе традиционных, спрос на которые с ростом цены падает:


 

,

 

Эластичность спроса по цене определяется по формуле:

 

.

 

При i = j имеем прямую эластичность по цене, при i ¹ j - перекрестную эластичность.

 

 

На основе изучения величин эластичностей по цене можно заключить, что оба товара являются среднеэластичными по цене и представляют необходимые блага. Так как все перекрестные коэффициенты эластичности положительны, но мало отличаются от нуля, то можно заключить, что блага х 1 и х 2 являются не конкурирующими благами.

Рассчитаем действие эффекта замены, используя уравнение Слуцкого, которое позволяет отразить действие эффекта замены и эффекта дохода на результирующее изменение спроса.

Уравнение имеет вид:

 

,

 

где первое слагаемое правой части показывает эффект замены, а второе – эффект дохода

Выпишем уравнение Слуцкого для рассмотренной выше задачи потребительского выбора с функцией полезности , если i=1,j=2:

.

 

, - спрос на благо х 1 растет при росте дохода. Поэтому, согласно уравнению Слуцкого спрос на благо x 1 будет расти больше при наличии компенсации .

Так как, , и , то товары 1 и 2 взаимозаменяемы, но представляются независимыми без учета компенсации.

Поскольку , а , то на покупку первого блага потребитель всегда будет расходовать 0.484 часть своего дохода, а на покупку второго блага: 0.516 часть своего дохода, независимо от цен этих благ. Т.к. , то потребитель второй товар предпочитает первому.

Замечание. Решение задачи минимизации расходов при заданном уровне полезности дает возможность построить функции компенсированного спроса потребителя. Так, при построении модели минимизации расходов мы исходили из предпосылки, что цены благ и требуемый уровень полезности являются постоянными величинами. Однако с течением времени цены на рынке растут или падают, а желаемый уровень полезности также может измениться. В зависимости от этого будет меняться и количество каждого из благ, которые потребитель приобретает на рынке. Поэтому если решить систему уравнений в общем виде (не приписывая ценам и требуемому уровню полезности конкретные числовые значения), то оптимальные количества каждого блага предстанут как функции от цен и желаемого потребителем уровня полезности: Эти функции также являются функциями спроса на блага, так как отражают зависимость между количеством благ, приобретаемых потребителем на рынке, и другими факторами.

Заметим, однако, что в отличие от функций спроса, полученных при решении задачи максимизации полезности, когда количество приобретаемых товаров зависело от цен и от дохода, функции спроса, полученные при решении задачи минимизации расходов, отражают зависимость количества приобретаемых товаров от цен на эти товары, а также от некоторого фиксированного уровня полезности, на котором должен оставаться потребитель, потребляя тот или иной набор благ. Такие функции называются функциями компенсированного спроса, или хиксианскими, в честь знаменитого экономиста Джона Хикса.


В целом анализ потребительского спроса дает возможность правильно классифицировать товары с целью последующей разработки оптимальной ценовой и товарной стратегии.

 

Содержание письменного отчета

 

Отчет по лабораторной работе оформляется на листах формата А4 и должен иметь следующую структуру:

1) Постановка задачи

2) Краткие теоретические сведения, необходимые для решения задач

3) Математические модели и результаты применения ППП для решения задач

4) Анализ полученных результатов и выводы.

Вопросы к защите

 

1) Дайте определение функции полезности.

2) Как содержательно трактуются значения показателей эластичности?

3) Что такое функции спроса? В чем состоит условие их однородности нулевой степени, его экономический смысл?

4) Поясните утверждение: в точке оптимума полезности приращения благ, приходящиеся на одну затрачиваемую денежную единицу, равны между собой.

5) Приведите геометрическую интерпретацию решения задачи потребительского выбора.

6) Каким свойствам должна удовлетворять функция полезности?

7) Почему в точке оптимума ЗПВ бюджетное ограничение выполняется как равенство.

8) Поясните на примерах (графически и аналитически) особые случаи оптимального выбора потребителя, если функция полезности является линейной, с постоянными пропорциями.

9) Какая функция спроса называется маршаллианской?

10) Какая функция спроса называется хиксианской?

 

Варианты для индивидуальных заданий

 

Варианты для индивидуальных заданий приведены в приложениях А в таблице А1.

Литература, рекомендуемая для изучения темы

 

 

7.1 Замков, О.О. Математические методы в экономике: учебник. / О.О. Замков, А.В. Толстопятенко, Ю.Н. Черемных. – М.: МГУ им. М.В. Ломоносова, издательство «ДИС», 1998. – 368 с.

7.2 Интриллигатор, М. Математические методы оптимизации и экономическая теория / М. Интриллигатор/Пер. с англ. Г.И. Жуковой. – М.: Айрис-пресс, 2002. – 576 с.

7.3 Колемаев, В.А. Математическая экономика: учебник для вузов/ В.А. Колемаев. – ЮНИТИ-ДАНА, 2002. – 399 с.

7.4 Монахов, А.В. Математические методы анализа экономики/ А.В. Монахов. - СПб: Питер, 2002. - 176с.








Date: 2015-06-06; view: 2000; Нарушение авторских прав



mydocx.ru - 2015-2026 year. (1.345 sec.) Все материалы представленные на сайте исключительно с целью ознакомления читателями и не преследуют коммерческих целей или нарушение авторских прав - Пожаловаться на публикацию