Главная Случайная страница


Полезное:

Как сделать разговор полезным и приятным Как сделать объемную звезду своими руками Как сделать то, что делать не хочется? Как сделать погремушку Как сделать так чтобы женщины сами знакомились с вами Как сделать идею коммерческой Как сделать хорошую растяжку ног? Как сделать наш разум здоровым? Как сделать, чтобы люди обманывали меньше Вопрос 4. Как сделать так, чтобы вас уважали и ценили? Как сделать лучше себе и другим людям Как сделать свидание интересным?


Категории:

АрхитектураАстрономияБиологияГеографияГеологияИнформатикаИскусствоИсторияКулинарияКультураМаркетингМатематикаМедицинаМенеджментОхрана трудаПравоПроизводствоПсихологияРелигияСоциологияСпортТехникаФизикаФилософияХимияЭкологияЭкономикаЭлектроника






а) Решите уравнение





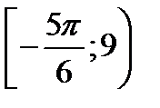
б) Найдите все корни уравнения, принадлежащие отрезку .

16. Угол наклона всех боковых граней пирамиды SABC одинаков и равен 2 arctg. Основанием пирамиды является прямоугольный треугольник АВС с прямым углом С. Найти боковую поверхность пирамиды, если , а радиус вписанной в треугольник АВС окружности равен 1.

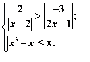
17. Решите систему неравенств

18. Продолжение медианы АЕ треугольника АВС пересекает описанную около треугольника окружность в точке D.

а) Докажите подобие треугольников АВС и АЕС.

б) Найдите длину отрезка ВС, если длина каждой из хорд АС и DC равна 1.

19. 1 января Тарас Павлович взял в банке 1,1 млн. руб. в кредит. Схема выплаты кредита следующая – 1 числа каждого следующего года банк начисляет 2 процента на оставшуюся сумму долга (то есть увеличивает долг на 2 %), затем Тарас Павлович переводит очередной платёж. На какое минимальное количество месяцев Тарас Павлович может взять кредит, чтобы ежемесячные выплаты были не более 220 тыс. рублей?

20. Найдите все значения а, при каждом из которых уравнение имеет хотя бы один корень.

21. Известно, что при любом целом число делится без остатка на . Найдите .

 







Date: 2015-09-25; view: 452; Нарушение авторских прав



mydocx.ru - 2015-2026 year. (0.346 sec.) Все материалы представленные на сайте исключительно с целью ознакомления читателями и не преследуют коммерческих целей или нарушение авторских прав - Пожаловаться на публикацию