Главная Случайная страница


Полезное:

Как сделать разговор полезным и приятным Как сделать объемную звезду своими руками Как сделать то, что делать не хочется? Как сделать погремушку Как сделать так чтобы женщины сами знакомились с вами Как сделать идею коммерческой Как сделать хорошую растяжку ног? Как сделать наш разум здоровым? Как сделать, чтобы люди обманывали меньше Вопрос 4. Как сделать так, чтобы вас уважали и ценили? Как сделать лучше себе и другим людям Как сделать свидание интересным?


Категории:

АрхитектураАстрономияБиологияГеографияГеологияИнформатикаИскусствоИсторияКулинарияКультураМаркетингМатематикаМедицинаМенеджментОхрана трудаПравоПроизводствоПсихологияРелигияСоциологияСпортТехникаФизикаФилософияХимияЭкологияЭкономикаЭлектроника






Теоретические основы работы





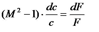
Основные зависимости при исследовании процессов течения газов выводятся при анализе уравнения неразрывности, уравнения состояния газа и уравнения первого закона термодинамики, написанных для зафиксированных и подвижных осей координат. При этом газ считается идеальным, его течение происходящим без трения и энергообмена с окружающей средой (Qвнеш = Lвнеш = Lг = 0). Следовательно, процесс изменения состояния газа при этих условиях будет адиобатным. Расчёт истечения начинают с определения области течения, которая может быть дозвуковой, звуковой, сверхзвуковой. Её находят сравнением перепада давления с критическим перепадом, являющимся функцией свойств рабочего тела. Однако путём такого сравнения можно определить лишь возможность получения той или иной скорости. Чтобы эта возможность стала действительностью, необходима соответствующая форма сопла. Исходя из вышесказанного выводится уравнение профиля струи для энергоизолированного потока без трения, который имеет вид:

. (1)

Это уравнение показывает величину dc, определяющую характер изменения скорости потока, с величиной dF, характеризующий изменение площади проходного сечения канала, т. е. его форму. Сопла – это каналы в которых скорость газа увеличивается (dc > 0). Сопла бывают дозвуковые и сверхзвуковые.

Канал, в котором достижима сверхзвуковая скорость, называется соплом Лаваля (по имени шведского инженера, предложившего это сопло для получения сверхзвуковой скорости в струе пара, работающей в турбине). Сопло Лаваля состоит из суживающейся и расширяющейся частей. В суживающейся части скорость увеличивается от начального значения (если истечение происходит из большого сосуда, с=0) до скорости, равной местной скорости звука; в расширяющейся части наблюдается дальнейшее увеличение скорости потока. Для уменьшения потерь энергии расширяющаяся часть соединяется с сужающейся плавным переходом – горловиной. Это минимальное сечение, в котором достигается скорость движения потока, равная местной скорости звука, называется критическим сечением, а параметры газа в этом сечении - критическими.

Режим течения определяется сравнением перепада давлений с критическим перепадом pкр

(2)


где pi,, pкр - статическое давление в i -м и критическом сечениях; p0*- полное давление на входе в сопло: k - показатель адиабаты.

Из формулы для βкр видно, что критическое отношение давлений не зависит от параметров торможения, а является только функцией физических свойств газа. В данном задании рабочее тело воздух, для которого k=1,4 и, следовательно,

βкр =0,528.

 


3.2. Порядок выполнения расчёта

1. В соответствии с номером варианта выписать из таблицы вариантов заданий, приведенных в приложении П. 1. параметры для выполнения задания.
2. Найти перепад давления в сопле β вых = pс / p0 * если:

а) βвых > βкр - дозвуковое истечение;

б) βвых = βкр - звуковое истечение;

в) βвых < βкр - сверхзвуковое истечение.
Сравнивая βвых и βкр, определить режим истечения.
3. Для расчёта параметров газа в промежуточных сечениях сопла задаются текущие значения βi в диапазоне 1 ≥ βiβвых. Рекомендуются следующие значения βi: 1; 0,99; 0,95; 0,9; 0,8; 0,528; 0,4; 0.3; 0,2; 0,1; 0,05.
4. Определение параметров газа по длине сопла:
а) давление рii·p0* (3)
б) температура Ti=T0*· (4)
в) удельный объем находится с помощью уравнения состояния идеального газа (уравнение Клапейрона): = (5)
г) плотность (величина, обратная удельному объему): ρ = (6)
5. Скорость потока . (7)

6. Местная скорость звука a = (8)
7. Число Маха – отношение местной скорости потока к скорости звука в нем: M = ; отсюда если М < 1 - поток дозвуковой; М = 1 - поток звуковой; М > 1 - поток сверхзвуковой.
8. Геометрические размеры сопла;

а) площадь поперечного сечения: F = (9)
б) диаметр: (10)
в) длина (отсчитывается от критического сечения):

 

 

1) длина дозвуковой часть сопла


(11)

2) длина сверхзвуковой часть сопла


(12)

3) общая длина сопла


ℓ=ℓ1+ℓ2 (13)

4) расчёт радиусов закругления
r1 =0,4 dвх
r2 =0,5 dкр

9. Построить в масштабе сопло и под ним (см. рис. 1) кривые изменения давления

температуры, плотности, скорости потока, местной скорости звука по длине сопла.

 


 

Таблица 1

Таблица результатов вычислений

  № сечения
Вх                     Вых
β=1 0,99 0,95 0,9 0,8 0,528 0,4 0,3 0,2 0,1 0,05  
р i МПа                        
Тi, К                        
i, м3/кг                        
ρI кг/м3                        
ci м/с                        
а i м/с                        
М i                        
f i мм2                        
d i мм                        
i мм                        

 


 

Список используемой литературы

1. А. И. Никифоров. Термодинамика и теплопередача. Методические указания по выполнению курсовой работы «Термодинамический расчёт сопла Лаваля». СПб.: СПбГУ ГА, 2014 - 15с.

2. А. И. Никифоров. Термодинамика и теплопередача. Раздел 11. Основы газовой динамики ГТД. СПб.: СПбГУ ГА, 2014 –

3. Двигатели газотурбинные авиационные. Термины и определения. ГОСТ 23851 – 79. Государственный комитет СССР по стандартам. – М.: Издательство стандартов, 1978.

 


 

Приложение 1.

Таблица 2.

 

Варианты заданий для выполнения курсовой работы.

 

 

№ п/п р 0*·105Па T 0*К р с*·105Па G, кг/с α 1, град α 2,град Т ст, К
І              
      0,045 0,9      
      0,08 2,0      
      0,09 2,0      
      0,16 3,8      
      0,2 4,5      
      0,24 5,4      
      0,21 6,0      
      0,32 6,5      
      0,30 8,0      
      0,36 8,0      
      0,035 1,0      
      0,09 1,5      
      0,12 4,0      
      0,18 5,5      
      0,30 8,0      
      0,4 9,0      
      0,04 1,2      
      0,1 3,0      
      0,2 5,0      
      0,28 7,0      
      0,36 9,0      
      0,07 1,8      
      0,14 4,0      
      0,26 5,0      
      0,36 7,0      
      0,45 8,0      
  1,6   0,064 1,5      
  2,5   0,1 2,0      
  3,5   0,105 3,5      
  4,5   0,18 4,0      
  5,5   0,22 5,5      
  6,5   0,26 6,0      
  7,5   0,3 7,0      
  8,5   0,255 8,0      
  9,5   0,38 9,0      

 


Приложение П.2.

МИНИСТЕРСТВО ТРАНСПОРТА РОССИЙСКОЙ ФЕДЕРАЦИИ

(МИНТРАНС РОССИИ)

ФЕДЕРАЛЬНОЕ АГЕНТСТВО ВОЗДУШНОГО ТРАНСПОРТА

(РОСАВИАЦИЯ)

ФГБОУ ВПО «САНКТ-ПЕТЕРБУРГСКИЙ ГОСУДАРСТВЕННЫЙ

УНИВЕРСИТЕТ ГРАЖДАНСКОЙ АВИАЦИИ»







Date: 2015-09-24; view: 383; Нарушение авторских прав



mydocx.ru - 2015-2026 year. (0.543 sec.) Все материалы представленные на сайте исключительно с целью ознакомления читателями и не преследуют коммерческих целей или нарушение авторских прав - Пожаловаться на публикацию