Главная Случайная страница


Полезное:

Как сделать разговор полезным и приятным Как сделать объемную звезду своими руками Как сделать то, что делать не хочется? Как сделать погремушку Как сделать так чтобы женщины сами знакомились с вами Как сделать идею коммерческой Как сделать хорошую растяжку ног? Как сделать наш разум здоровым? Как сделать, чтобы люди обманывали меньше Вопрос 4. Как сделать так, чтобы вас уважали и ценили? Как сделать лучше себе и другим людям Как сделать свидание интересным?


Категории:

АрхитектураАстрономияБиологияГеографияГеологияИнформатикаИскусствоИсторияКулинарияКультураМаркетингМатематикаМедицинаМенеджментОхрана трудаПравоПроизводствоПсихологияРелигияСоциологияСпортТехникаФизикаФилософияХимияЭкологияЭкономикаЭлектроника






Asset Prices under Habit Formation and Catching up with the Joneses by Andrew B. Abel





В данной статье Абель рассматривают функцию полезности с тремя классификациями.

1) традиционная с межвременным разграничением;

2) функция полезности «догнать Джонсов», которая зависит от уровня потребления потребителей по отношению к замедленному среднему уровню потребления;

3) функция полезности, которая отображает формирование привычек.

Включение этой функции полезности в модель ценообразования Лукаса (1978) позволяет рассчитать конечный вид решений для цен на акции, векселя и консоли в предположении, что рост потребления независимо одинаково распределен. Тогда равновесные цены актива используются для изучения загадки премии к цене акций.

Можно представить функцию полезности в общем виде:

где v t+j- параметр предпочтения, который определяется как:

Где ct-1 – собственное потребление индивида, а Ct-1- агрегированное потребление на душу населения.

Если = 0, то v t=1 и мы получаем «традиционную модель»(независимую во времени): полезность в каждом периоде зависит от текущего потребления и не зависит от потребления в других периодах.

Если >0, а D = 0 получаем модель «догнать Джонсов»

Если >0, а D = 1 получаем модель формирования привычек.

Разница модели «догони Джонсов» и модели формирования привычек в потреблении состоит в том, с чем потребители сравнивают текущее потребление. В первом случае текущее потребление сравнивается со средним агрегированным потреблением других агентов в прошлом, а во втором случае сравнивается с собственным потреблением агента в прошлом. В обеих моделях текущая полезность зависит не только от текущего потребления, но и от потребления в прошлом, именно в этом состоит отсутствие межвременного разделения в данных моделях.

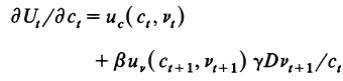
Для дальнейшей работы автор подставляет νt в Ut и дифференцирует, в итоге получает:

При этом

α – коэффициент относительного неприятия риска.

Равновесие при этом имеет вид:

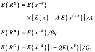
В итоге Абель получает уравнение, определяющие цену рискового актива, цену облигации и консоли. Цены имеют вид:

· wt - соотношение цена-дивиденд(для акции)

· st -цена безрисковой облигации

· ptc – цена консоли

 

Абель отражает безусловные ожидаемые доходности для акций, облигаций и консолей для трёх видов функции полезности. Ожидаемые доходности при этом, соответственно, равны:

Нормы прибыли были рассчитаны для логнормального распределения х и для 2-ух точечного независимого и одинакового распределённого распределения.







Date: 2015-09-24; view: 349; Нарушение авторских прав



mydocx.ru - 2015-2026 year. (0.248 sec.) Все материалы представленные на сайте исключительно с целью ознакомления читателями и не преследуют коммерческих целей или нарушение авторских прав - Пожаловаться на публикацию