Главная Случайная страница


Полезное:

Как сделать разговор полезным и приятным Как сделать объемную звезду своими руками Как сделать то, что делать не хочется? Как сделать погремушку Как сделать так чтобы женщины сами знакомились с вами Как сделать идею коммерческой Как сделать хорошую растяжку ног? Как сделать наш разум здоровым? Как сделать, чтобы люди обманывали меньше Вопрос 4. Как сделать так, чтобы вас уважали и ценили? Как сделать лучше себе и другим людям Как сделать свидание интересным?


Категории:

АрхитектураАстрономияБиологияГеографияГеологияИнформатикаИскусствоИсторияКулинарияКультураМаркетингМатематикаМедицинаМенеджментОхрана трудаПравоПроизводствоПсихологияРелигияСоциологияСпортТехникаФизикаФилософияХимияЭкологияЭкономикаЭлектроника






Способ компенсации реактивной мощности





Нагрузка АИР обладает большой индуктивностью. Из-за малого возникают трудности оптимального использования тиристоров инвертора по току и напряжению для получения требуемых мощности напряжения нагрузки. Задача решается подключением параллельно нагрузке конденсатора (Спар.) настроенного в резонанс с Lн., рис.4.38.а.

Рис.2.28.а Схема АИТ с компенсирующей емкостью. б Векторная диаграмма

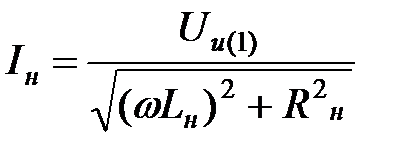
Таким образом, выходная цепь инвертора оказывается составленной из двух резонансных контуров, настроенных на одну и ту же частоту ω=ω0. Один из колебательных контуров является последовательным (L-С), а другой (Lн –Rн – Спар.) – параллельным. Для параллельного колебательного контура действительная векторная диаграмма (рис.2.28.б.) В последовательном контуре при резонансе напряжения uс =uL и находятся в противофазе, к параллельному колебательному контуру и нагрузке и прикладывается напряжение uи =uи(1). В параллельном колебательном контуре при резонансе наблюдается равенство реактивных составляющих токов Iс пар. =Iн.р., в связи, с чем ток инвертора будет определяться активной составляющей тока нагрузки Iи. =Iн.а =Icosφн, а ток нагрузки

Сравнивая выведенное соотношение с полученными раннее видно, что введение компенсации позволяет уменьшить ток инвертора и соответственно токи тиристоров, а питание схемы осуществлять более высоким напряжением, что благотворно сказывается на К.П.Д. преобразователя.







Date: 2015-09-22; view: 666; Нарушение авторских прав



mydocx.ru - 2015-2026 year. (0.362 sec.) Все материалы представленные на сайте исключительно с целью ознакомления читателями и не преследуют коммерческих целей или нарушение авторских прав - Пожаловаться на публикацию