Главная Случайная страница


Полезное:

Как сделать разговор полезным и приятным Как сделать объемную звезду своими руками Как сделать то, что делать не хочется? Как сделать погремушку Как сделать так чтобы женщины сами знакомились с вами Как сделать идею коммерческой Как сделать хорошую растяжку ног? Как сделать наш разум здоровым? Как сделать, чтобы люди обманывали меньше Вопрос 4. Как сделать так, чтобы вас уважали и ценили? Как сделать лучше себе и другим людям Как сделать свидание интересным?


Категории:

АрхитектураАстрономияБиологияГеографияГеологияИнформатикаИскусствоИсторияКулинарияКультураМаркетингМатематикаМедицинаМенеджментОхрана трудаПравоПроизводствоПсихологияРелигияСоциологияСпортТехникаФизикаФилософияХимияЭкологияЭкономикаЭлектроника






Экономическая эффективность природопользования





 

Для оценки экономической эффективности проекта или программы, определения степени их приемлемости в экономике имеется механизм сопоставления затрат и выгод в денежном выражении. Введение фактора дисконтирования позволяет сравнивать современные суммы денег с будущими.

 

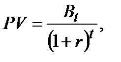
Дисконтирование и позволяет привести будущие стоимости к современной стоимости (PV)по формуле:

(4)

 

где r — коэффициент дисконтирования.

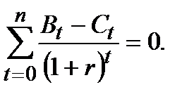
Сегодняшние затраты (С) и выгоды (В) больше чем их аналогичные величины в последующие годы. С учетом фактора времени соотношениe (4) может быть записано в следующем виде:

. (5)

 

В экономике это соотношение широко распространено для измерения эффективности проектов или программ, и оно известно как чистая (приведенная) современная стоимость (NPV). В том случае, когда показатель чистой приведенной стоимости больше 0, тогда проект или программа считаются эффективными и их целесообразно реализовывать.

Определение цены и оценка природным ресурсов является необходимым, но сложным в экономическом плане делом. Адекватный учет цены природных ресурсов в проекте, получаемый в результате реализации проекта выгод, издержек и ущербов существенно влияет на решение о степени эффективности проекта Соотношение (5) в неявном виде включает в себя экологическую информацию в виде экологических выгод и экологических затрат. Выделим отдельно экологическую составляющую в виде суммы экологических издержек и экологических выгод (Et). Экологическая составляющая может быть как положительной (проект дает большой природоохранный эффект), так и отрицательной (реализация проекта связана со значительным экологическим ущербом). Тогда формула (5) преобразуется в

 

(6)

 

Соотношение (6) является основным для определения экономической эффективности проекта с учетом экологической составляющей и фактора времени. В том случае, если чистая современная стоимость в (6) больше нуля, проект экономически эффективен.

Для определения приемлемости проекта часто используются и два других критерия: внутренней ставки рентабельности (IRR) и соотношения выгоды/затраты (BCR). Величина внутренней ставки рентабельности эквивалентна дисконтной ставке (r), при которой текущее значение выгод будет равно величине затрат (формула 7):

 

(7)

 

Формула соотношения выгода/затраты является производной от формулы чистой современной стоимости (6):

(8)

 

При BCR > 1 дисконтированные выгоды больше дисконтированных затрат. Это означает, что проект будет прибыльным и его имеет смысл принять. При BCR < 1 проект будет убыточным.

При принятии экономического решения отдается приоритет максимизации сегодняшнего благосостояния. И соответственно минимизуются будущие выгоды и возможные ущербы, что свойственно экологическим проектам с их отдаленными эффектами и выгодами. Например, с позиций традиционного подхода затраты-выгоды такое экологическое мероприятие как посадка леса оказывается малоконкурентным, так как срок реализации лесных проектов составляет 50-70 лет, а ждать пока деревья вырастут надо десятилетия. В свою очередь проекты, которые могут в отдаленной перспективе принести огромные потери и вред природе, могут при традиционных подходах оказаться эффективными в силу значительного занижения будущих затрат.

 







Date: 2015-09-24; view: 572; Нарушение авторских прав



mydocx.ru - 2015-2026 year. (0.898 sec.) Все материалы представленные на сайте исключительно с целью ознакомления читателями и не преследуют коммерческих целей или нарушение авторских прав - Пожаловаться на публикацию