Главная Случайная страница


Полезное:

Как сделать разговор полезным и приятным Как сделать объемную звезду своими руками Как сделать то, что делать не хочется? Как сделать погремушку Как сделать так чтобы женщины сами знакомились с вами Как сделать идею коммерческой Как сделать хорошую растяжку ног? Как сделать наш разум здоровым? Как сделать, чтобы люди обманывали меньше Вопрос 4. Как сделать так, чтобы вас уважали и ценили? Как сделать лучше себе и другим людям Как сделать свидание интересным?


Категории:

АрхитектураАстрономияБиологияГеографияГеологияИнформатикаИскусствоИсторияКулинарияКультураМаркетингМатематикаМедицинаМенеджментОхрана трудаПравоПроизводствоПсихологияРелигияСоциологияСпортТехникаФизикаФилософияХимияЭкологияЭкономикаЭлектроника






Билет 30





1. Если при уменьшении температуры площадь фигуры под графиком спектральной плотности энергетической светимости абсолютно черного тела rν,Т уменьшилась в 16 раз, то отношение температур Т12 равно…

 

А. 2 Б. 2,5 В. 1,7 Г. 4

 

2. На рисунке показаны направления падающего фотона (γ), рассеянного фотона (γ') и электрона отдачи (е). Угол рассеяния 90°. направление движения электрона отдачи составляет с направлением падающего фотона угол α =30°. Если импульс падающего фотона p ф, то импульс электрона отдачи равен...

А. 1,5 pф Б. В. Г.

3. Де Бройль обобщил отношение для фотона на любые волновые процессы, связанные с частицами, импульс которых равен p. Тогда, если скорость частиц одинакова, то наибольшей длиной волны обладают…

А. α-частицы;

Б. электроны;

В. нейтроны;

Г. протоны

 

4. На рисунках приведены картины распределения плотности вероятности нахождения микрочастицы в потенциальной яме с бесконечно высокими стенками. Состоянию с квантовым числом п=4 соответствует...

А. Б. В. Г.

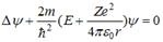
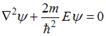
5. Нестационарным уравнением Шредингера является уравнение …

А.
Б.
В.
Г.

 







Date: 2015-09-23; view: 1062; Нарушение авторских прав



mydocx.ru - 2015-2026 year. (1.852 sec.) Все материалы представленные на сайте исключительно с целью ознакомления читателями и не преследуют коммерческих целей или нарушение авторских прав - Пожаловаться на публикацию