Главная Случайная страница


Полезное:

Как сделать разговор полезным и приятным Как сделать объемную звезду своими руками Как сделать то, что делать не хочется? Как сделать погремушку Как сделать так чтобы женщины сами знакомились с вами Как сделать идею коммерческой Как сделать хорошую растяжку ног? Как сделать наш разум здоровым? Как сделать, чтобы люди обманывали меньше Вопрос 4. Как сделать так, чтобы вас уважали и ценили? Как сделать лучше себе и другим людям Как сделать свидание интересным?


Категории:

АрхитектураАстрономияБиологияГеографияГеологияИнформатикаИскусствоИсторияКулинарияКультураМаркетингМатематикаМедицинаМенеджментОхрана трудаПравоПроизводствоПсихологияРелигияСоциологияСпортТехникаФизикаФилософияХимияЭкологияЭкономикаЭлектроника






Билет 21





1. На рисунке показаны кривые зависимости абсолютно черного тела от длины волны при разных температурах. Если кривая 2 соответствует спектру излучения абсолютно черного тела при температуре 1450 К, то кривая 1 соответствует температуре (в К)...

А. 1025

Б. 725

В. 2900

Г. 5800

 

 

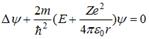
2. Стационарное уравнение Шредингера имеет вид . Это уравнение описывает…

А. электрон в водородоподобном атоме

Б. движение свободной частицы

В. электрон в трехмерном потенциальном ящике

Г. линейный гармонический осциллятор

 

3. При рассеянии фотона на свободном электроне кинетическая энергия отдачи электрона максимальна. Чему равен при этом угол рассеяния в градусах?

 

4. Выберите верные утверждения:

А. инверсная населенность – это такое заполнение электронами энергетических уровней, при котором нарушается принцип Паули;

Б. инверсная населенность – это состояние, при котором возбужденных атомов в веществе больше, чем невозбужденных;

В. когерентность лазерного излучения обусловлена индуцированными переходами.

Г. когерентность лазерного излучения обусловлена спонтанными переходами.

 

5. Де Бройль обобщил отношение для фотона на любые волновые процессы, связанные с частицами, импульс которых равен p. Тогда, если скорость частиц одинакова, то наименьшей длиной волны обладают…

А. α-частицы;

Б. электроны;

В. нейтроны;

Г. протоны

 







Date: 2015-09-23; view: 453; Нарушение авторских прав



mydocx.ru - 2015-2026 year. (0.416 sec.) Все материалы представленные на сайте исключительно с целью ознакомления читателями и не преследуют коммерческих целей или нарушение авторских прав - Пожаловаться на публикацию