Главная Случайная страница


Полезное:

Как сделать разговор полезным и приятным Как сделать объемную звезду своими руками Как сделать то, что делать не хочется? Как сделать погремушку Как сделать так чтобы женщины сами знакомились с вами Как сделать идею коммерческой Как сделать хорошую растяжку ног? Как сделать наш разум здоровым? Как сделать, чтобы люди обманывали меньше Вопрос 4. Как сделать так, чтобы вас уважали и ценили? Как сделать лучше себе и другим людям Как сделать свидание интересным?


Категории:

АрхитектураАстрономияБиологияГеографияГеологияИнформатикаИскусствоИсторияКулинарияКультураМаркетингМатематикаМедицинаМенеджментОхрана трудаПравоПроизводствоПсихологияРелигияСоциологияСпортТехникаФизикаФилософияХимияЭкологияЭкономикаЭлектроника






Выдержка размеров диаметров по поперечным упорам





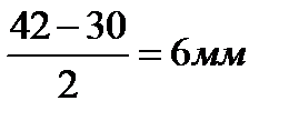
Поперечные упоры рекомендуется применять при обработке партии деталей. Первую ступень 030 мм обточить со снятием пробных стружек и необходимыми замерами (рис. 1). Не изменяя положения резца, подвести поперечный упор 2 вплотную к упору 1 на поперечных нижних салазках суппорта и закрепить его. Для обтачивания 2-й ступени диаметром 35 мм между

упорами поместить мерную плитку раз-

мером: = 2,5 мм, а для 3-й ступени

 

диаметром 42 мм - мерную плитку размером:

 

Для повышения точности обработки и производительности труда нужно использовать многопозиционный упор (рис. 2), состоящий из сухаря 1, укреплённого неподвижно на нижних поперечных салазках суппорта, валика 2 с несколькими канавками, упоров 3, 4, предварительно установленных по заданному для каждого из них диаметру детали.


 







Date: 2015-09-23; view: 856; Нарушение авторских прав



mydocx.ru - 2015-2026 year. (0.438 sec.) Все материалы представленные на сайте исключительно с целью ознакомления читателями и не преследуют коммерческих целей или нарушение авторских прав - Пожаловаться на публикацию