Главная Случайная страница


Полезное:

Как сделать разговор полезным и приятным Как сделать объемную звезду своими руками Как сделать то, что делать не хочется? Как сделать погремушку Как сделать так чтобы женщины сами знакомились с вами Как сделать идею коммерческой Как сделать хорошую растяжку ног? Как сделать наш разум здоровым? Как сделать, чтобы люди обманывали меньше Вопрос 4. Как сделать так, чтобы вас уважали и ценили? Как сделать лучше себе и другим людям Как сделать свидание интересным?


Категории:

АрхитектураАстрономияБиологияГеографияГеологияИнформатикаИскусствоИсторияКулинарияКультураМаркетингМатематикаМедицинаМенеджментОхрана трудаПравоПроизводствоПсихологияРелигияСоциологияСпортТехникаФизикаФилософияХимияЭкологияЭкономикаЭлектроника






Первый этап контроля: контроль взаимодействия предприятий





Контроль за деятельностью технологической цепочки в целом состоит из следующих этапов:

¨ анализ взаимодействия предприятий - участников;

¨ выявление узкого места в технологической цепочке.

Рассмотрим содержание перечисленных этапов.

Для первоначального анализа функционирования бывает достаточно показателя интегральной эффективности. Но зачастую перед руководством ТЦ возникает необходимость ответить на вопрос: эффективнее ли функционирование предприятий в качестве единого целого, чем функционирование каждого предприятия по отдельности или нет, и насколько? Показатель эффективности (ЭЦ) не дает ответа на поставленный вопрос.

Очевидно, что для ответа на поставленный вопрос необходимо получить показатель, при расчете которого соотносится интегральный показатель эффективности функционирования ТЦ с каким-то другим показателем, отражающим общую эффективность функционирования предприятий, действующих самостоятельно.

За показатель, отражающий общую эффективность независимых предприятий, можно, например, принять среднее значение показателей эффективности, вычисленных для каждого предприятия.

Для нахождения приемлемой формулы вычисления среднего значения, используем сначала формулу среднего арифметического, затем формулу среднего геометрического и, наконец, формулу среднего экономического.

Рассмотрим пример.

Пример 3.2. Имеется 5 предприятий-участников ТЦ и данные об их функционировании, представленные в таблице 3.4.

Таблица 3.4

Исходные данные

Наименование Пр-е 1 Пр-е 2 Пр-е 3 Пр-е 4 Пр-е 5
Чистая прибыль, млн. руб.          
Всего активов, млн. руб. 1 500 1 200 1 800 2 000 1 000
Эффективность i 0,0267 0,0292 0,0111 0,0125 0,0410

 

Выбор подходящего значения проведем по следующему плану:

1. Вычислим среднее арифметическое значение [28] показателей эффективности:

ЭСРА = (0,0267 + 0,0292 + 0,0111 + 0,0125 + 0,0410) / 5 = 0,0241.

2. Вычислим среднее геометрическое значение [28] показателей эффективности:

ЭСРГ = = 0,0213.

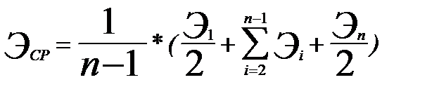
3. Вычислим простое среднее хронологическое значение [28] показателей эффективности:

ЭСРХ = (0,0267 / 2 + 0,0292 + 0,0111 + 0,0125 + 0,0410 / 2) / 4 = 0,0217.

4. Упорядочим вычисленные показатели по возрастанию:

ЭСРГ, ЭСРХ, ЭСРА;

Поскольку средним по значению является ЭСРХ, для дальнейших расчетов будем использовать среднее экономическое значение.

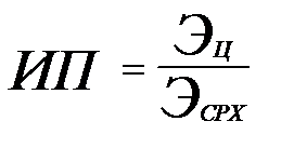
Таким образом, формула для вычисления искомого показателя будет выглядеть следующим образом:

,

где

ИП – искомый показатель;

ЭЦ – интегральная эффективность ТЦ;

ЭСРХ – среднее экономическое значение показателей эффективности отдельных предприятий.

Назовем искомый показатель показателем взаимодействия (ПВ). ПВ соотносит эффективность ТЦ и среднюю эффективность предприятий-участников ТЦ. Для простоты ЭСРХ будем в дальнейшем обозначать ЭСР (если не оговорено иное). В общем виде показатель взаимодействия можно представить следующей формулой:

, (3.4)

где

ПВ – показатель взаимодействия,

ЭЦ – интегральная эффективность технологической цепочки;

ЭСР – средняя эффективность предприятий-участников ТЦ, которая вычисляется по формуле [40, 48]:

,

 

где

Э1 – эффективность первого предприятия ТЦ;

Эi – эффективность i-го предприятия;

Эn – эффективность n-го предприятия ТЦ;

n – количество предприятий-участников ТЦ.

Таким образом, для определения качества взаимодействия предприятий в рамках ТЦ необходимо соотнести интегральную эффективность ТЦ и среднюю эффективность предприятий-участников ТЦ.

Пример 3.3. Рассмотрим ТЦ, состоящую из 4-рех предприятий, которые имеют следующие исходные показатели для анализа, представленные в таблице 3.5.

Таблица 3.5

Данные по предприятиям

  Предприятия
Наименование        
Чистая прибыль предприятия i, млн. руб.        
Валовые активы предприятия i, млн. руб.        

 

Проведем необходимые вычисления и заполним таблицу 3.6:

Э1 = 25 / 80 = 0,31;

Э2 = 30 / 90 = 0,33;

Э3 = 10 / 50 = 0,20;

Э4 = 34 / 70 = 0,49;

ЭЦ = (25+30+10+34) / (80+90+50+70) = 0,34;

ЭСР = (0,31/2 + 0,33 + 0,20 + 0,49/2) / 3 = 0,31;

ПВ = ЭЦ / ЭСР = 0,34 / 0,31 = 1,096.

Таблица 3.6

Определение показателя взаимодействия

Эффективность предприятия i 0,31 0,33 0,20 0,49
Эфпг 0,34  
Эср 0,31  
ПВ 1,096  

 


По данным таблицы 3.6 можно сделать вывод, что функционирование предприятий в качестве технологической цепочки более эффективно, чем их функционирование как самостоятельных предприятий.

Резюме

Финансово-промышленная группа – новая организационная структура в экономике России.

Отбор участников ФПГ осуществляется на конкурсной основе.

Проектирование технологической цепочки состоит из следующих этапов: проектирование производственной схемы, разработка календарного плана, проектирование схемы финансовых потоков, составление организационного плана, проектирование эффективности технологической цепочки.

Организация технологических процессов в рамках ФПГ может быть вертикальной и горизонтальной.

Финансово-промышленная группа может быть разделена на комплексы, каждый из которых имеет свой собственный маркетинг, производство, снабжение.

Взаимодействие участников ФПГ оценивается на основе анализа финансовых коэффициентов.








Date: 2015-09-22; view: 383; Нарушение авторских прав



mydocx.ru - 2015-2026 year. (0.424 sec.) Все материалы представленные на сайте исключительно с целью ознакомления читателями и не преследуют коммерческих целей или нарушение авторских прав - Пожаловаться на публикацию