Главная Случайная страница


Полезное:

Как сделать разговор полезным и приятным Как сделать объемную звезду своими руками Как сделать то, что делать не хочется? Как сделать погремушку Как сделать так чтобы женщины сами знакомились с вами Как сделать идею коммерческой Как сделать хорошую растяжку ног? Как сделать наш разум здоровым? Как сделать, чтобы люди обманывали меньше Вопрос 4. Как сделать так, чтобы вас уважали и ценили? Как сделать лучше себе и другим людям Как сделать свидание интересным?


Категории:

АрхитектураАстрономияБиологияГеографияГеологияИнформатикаИскусствоИсторияКулинарияКультураМаркетингМатематикаМедицинаМенеджментОхрана трудаПравоПроизводствоПсихологияРелигияСоциологияСпортТехникаФизикаФилософияХимияЭкологияЭкономикаЭлектроника






Краткие сведения из теории





1. Аксиомы алгебры логики. Переменные, рассматриваемые в алгебре логики, могут принимать только два значения - 0 или 1. В алгебре логики определены: отношение эквивалентности (обозначается знаком =) и операции: сложения (дизъюнкции), обозначаемая знаком v, умножения (конъюнкции), обозначаемая знаком & или точкой, и отрицания (или инверсии), обозначаемая надчеркиванием или апострофом'. Алгебра логики определяется следующей системой аксиом:

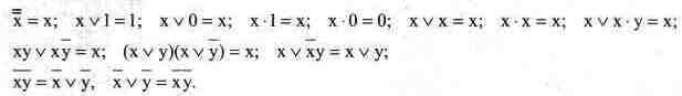
2. Логические выражения. Запись логических выражений обычно осуществляют в конъюнктивной или дизъюнктивной нормальных формах. В дизъюнктивной форме логические выражения записываются как логическая сумма логических произведений, в конъюнктивной форме - как логическое произведение логических сумм. Порядок действии такой же, как и в обычных алгебраических выражениях. Логические выражения связывают значение логической функции со значениями логических переменных. 3. Логические тождества. При преобразованиях логических выражений используются логические тождества:

4. Логические функции. Любое логическое выражение, составленное из п переменных xn,xn-1... X1 с помощью конечного числа операций алгебры логики, можно рассматривать как некоторую функцию п переменных. Такую функцию называют логической. В соответствии с аксиомами алгебры логики функция может принимать в зависимости от значения переменных значение 0 или 1. Функция п логических переменных может быть определена для 2" значений переменных, соответствующих всем возможным значениям п-разряд-ных двоичных чисел. Основной интерес представляют следующие функции двух переменных х и у:

- логическое умножение (конъюнкция),
- логическое сложение (дизъюнкция),
- - логическое умножение с инверсией,
- - логическое сложение с инверсией,
- суммирование по модулю 2,
- равнозначность.

5. Логические схемы. Физическое устройство, реализующее одну из операций алгебры логики или простейшую логическую функцию, называется логическим элементом. Схема, составленная из конечного числа логических элементов по определенным правилам, называется логической схемой. Основным логическим функциям соответствуют выполняющие их схемные элементы.

6. Таблица истинности. Так как область определения любой функции п переменных конечна (2n значений), такая функция может быть задана таблицей значений f(Vi), которые она принимает в точках Vi, где i= 0,1. -.2n—1. Такие таблицы называют таблицами истинности. В таблице 12.1 представлены таблицы истинности, задающие указанные выше функции.

 

 

Таблица 12.1

i Значения переменных функции
  X У fl f2 f3 f4 f5 f6
    о о          
      о          
    о о          
                 

i= 2х+у - число, образованное значениями переменных.

7. Карты Карно и диаграммы Вейча. Если число логических переменных не превышает 5-6, преобразования логических уравнений удобно производить с помощью карт Карно или диаграмм Вейча. Цель преобразований - получение компактного логического выражения (минимизация). Минимизацию производят объединением наборов (термов) на карте Карно. Объединяемые наборы должны иметь одинаковые значения функции (все 0 или все 1). Для наглядности рассмотрим пример: пусть требуется найти логическое выражение для мажоритарной функции fm трех переменных X, Y, Z, описываемой следующей таблицей истинности.

Составим карту Карно. Она представляет собой нечто похожее на таблицу, в которой наименования столбцов и строк представляют собой значения переменных, причем переменные располагаются в таком порядке, чтобы при переходе к соседнему столбцу или строке изменялось значение только одной переменной. Например, в строке XY таблицы 12.3 значения переменных XY могут быть представлены следующими последовательностями: 00,01,11,10 и 00,10,11,01. Таблицу заполняют значениями функции, соответствующими комбинациям значений переменных. Полученная таким образом таблица выглядит, как показано ниже (таблица 12.3). Таблица 12.3. Карта Карно мажоритарной функции

 

На карте Карно отмечаем группы, состоящие из 2n ячеек (2, 4, 8,...) и содержащие 1, т. к. они описываются простыми логическими выражениями. Три прямоугольника в таблице определяют логические выражения XY, XZ, YZ. Каждый прямоугольник, объединяющий две ячейки, соответствует логическим преобразованиям:


Компактное выражение, описывающее функцию, представляет собой дизъюнкцию полученных при помощи карт Карно логических выражений. В результате получаем выражение в дизъюнктивной форме: fm = XY v XZ vYZ. Для реализации функции мажоритарной логики трех логических переменных необходимо реализовать схему, которая при подаче на ее входы трех сигналов формировала бы на выходе сигнал, равный сигналу на большинстве входов (2 из 3 или 3 из 3). Эта схема полезна для восстановления истинного значения сигналов, поступающих на 3 входа, если возможен отказ на одном из входов. Для реализации функции на элементах 2И-НЕ преобразуем полученное выражение в базис элементов И-НЕ, т. е. запишем выражение при помощи операций логического умножения и инверсии. Проверить справедливость каждого из приведенных выражений для fm можно прямой подстановкой значений X, Y, Z из таблицы 12.2:


Соответствующая схемная реализация приведена на рис. 12.1.

 







Date: 2015-09-22; view: 328; Нарушение авторских прав



mydocx.ru - 2015-2026 year. (0.754 sec.) Все материалы представленные на сайте исключительно с целью ознакомления читателями и не преследуют коммерческих целей или нарушение авторских прав - Пожаловаться на публикацию