Главная
Случайная страница
Полезное:
Как сделать разговор полезным и приятным
Как сделать объемную звезду своими руками
Как сделать то, что делать не хочется?
Как сделать погремушку
Как сделать так чтобы женщины сами знакомились с вами
Как сделать идею коммерческой
Как сделать хорошую растяжку ног?
Как сделать наш разум здоровым?
Как сделать, чтобы люди обманывали меньше
Вопрос 4. Как сделать так, чтобы вас уважали и ценили?
Как сделать лучше себе и другим людям
Как сделать свидание интересным?
Категории:
АрхитектураАстрономияБиологияГеографияГеологияИнформатикаИскусствоИсторияКулинарияКультураМаркетингМатематикаМедицинаМенеджментОхрана трудаПравоПроизводствоПсихологияРелигияСоциологияСпортТехникаФизикаФилософияХимияЭкологияЭкономикаЭлектроника
|
Графическое представление решения
Рис 1. Рис 2.
Дано.
| Математическая модель решения
1) На тело действует сила тяжести и сила со стороны электрического поля
2) В инерциальной системе отсчета, связанной с Землей по второму закону Ньютона
3) При движении из состояния покоя тело движется по прямой в направлении вектора ускорения, т.е. в направлении равнодействующей приложенных сил. Прямая, вдоль которой направлен вектор ускорения, образует угол с вертикалью, следовательно,
| Ответ:

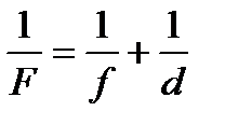
Небольшой груз, подвешенный на нити длиной 2,5м, совершает гармонические колебания, при которых его максимальная скорость достигает . При помощи собирающей линзы с фокусным расстоянием 0,2м изображение колеблющегося груза проецируется на экран, расположенный на расстоянии 0,5м от линзы. Главная оптическая ось линзы перпендикулярна плоскости колебаний маятника и плоскости экрана. Определите максимальное смещение изображения груза на экране от положения равновесия
| Реконструкция условия задачи


Небольшой груз, подвешенный на нити длиной 2,5м, совершает гармонические колебания, при которых его максимальная скорость достигает .
| При помощи собирающей линзы с фокусным расстоянием 0,2м изображение колеблющегося груза проецируется на экран, расположенный на расстоянии 0,5м от линзы. Определите максимальное смещение изображения груза на экране от положения равновесия
| Шаг 1 Шаг 2 

Рис 1 Рис 2
Рис 3
Дано.
| Математическая модель решения
1) По закону сохранения полной механической энергии
Т.к. (см. рис 1)
По рис 2:
Для малых углов:
По рис 2
или. Тогда, с учетом (1) получим
2) Линейное увеличение
3) Расстояние d определяется по формуле тонкой линзы
, тогда
Подставив (2) в (3), получим
Ответ:
|

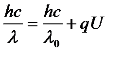
Красная граница фотоэффекта для вещества фотокатода.при облучении катода светом с длиной волны фототок прекращается при напряжении между катодом и анодом . Определите длину волны .
|
Реконструкция условия задачи.

Красная граница фотоэффекта для вещества фотокатода
Шаг 1.
| При облучении катода светом с длиной волны фототок прекращается при напряжении между катодом и анодом . Определите длину волны .
Шаг 2.
| 
Дано.
| Математическая модель решения.
1) Воспользуемся формулой Эйнштейна для фотоэффекта
2) Условие связи красной границы фотоэффекта и работы выхода
3) Выражение для запирающего напряжения – условие равенства максимальной кинетической энергии электрона и изменения его кинетической энергии при перемещении в электростатическом поле
4) Подставим (2) и (3) в (1), получаем
Ответ:
|
Date: 2015-09-22; view: 474; Нарушение авторских прав | Понравилась страница? Лайкни для друзей: |
|
|