Главная
Случайная страница
Полезное:
Как сделать разговор полезным и приятным
Как сделать объемную звезду своими руками
Как сделать то, что делать не хочется?
Как сделать погремушку
Как сделать так чтобы женщины сами знакомились с вами
Как сделать идею коммерческой
Как сделать хорошую растяжку ног?
Как сделать наш разум здоровым?
Как сделать, чтобы люди обманывали меньше
Вопрос 4. Как сделать так, чтобы вас уважали и ценили?
Как сделать лучше себе и другим людям
Как сделать свидание интересным?
Категории:
АрхитектураАстрономияБиологияГеографияГеологияИнформатикаИскусствоИсторияКулинарияКультураМаркетингМатематикаМедицинаМенеджментОхрана трудаПравоПроизводствоПсихологияРелигияСоциологияСпортТехникаФизикаФилософияХимияЭкологияЭкономикаЭлектроника
|
Шаг 1 Шаг 2
Рис 1. Рис 2. Рис 3.
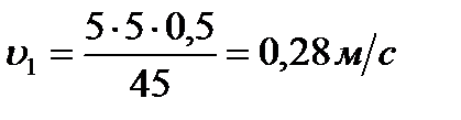
Дано:
| Математическая модель решения.
По закону сохранения импульса (рис 1,2)
В проекциях на ось ОХ (рис 1,3):
Ответ:
|
Определите плотность однородного тела, вес которого в воздухе равен 2,8Н, а в воде – 1,69Н. Выталкивающей силой воздуха можно пренебречь. Плотность воды равна. Ответ выразите в, умноженных на, ответ округлите до десятых.
Реконструкция условия задачи

| Вес тела в воздухе равен 2,8Н.
| Вес тела в воде - 1,69Н.
| Определите плотность однородного тела, если плотность воды равна.
Дано:
| Математическая модель решения.
На тело, погруженное в жидкость, действует сила тяжести и
выталкивающая сила
| 
Т.к.

Тогда
Ответ:
Два протона из состояния покоя начинают двигаться в электрическом поле: первый с разностью потенциалов , второй - . Движущиеся протоны попадают в однородное магнитное поле, вектор магнитной индукции которого перпендикулярен скорости протонов. Во сколько раз различаются радиусы кривизны траекторий протонов в магнитном поле?
Реконструкция условия задачи
Шаг 1. Два протона из состояния покоя начинают двигаться в электрическом поле: первый с разностью потенциалов , второй - .
Шаг 2



| Движущиеся протоны попадают в однородное магнитное поле, вектор магнитной индукции которого перпендикулярен скорости протонов. Во сколько раз различаются радиусы кривизны траекторий протонов в магнитном поле?
| Графическое представление взаимодействия.

Электрическое поле совершает работу по перемещению протонов. Кинетическая энергия движущихся частиц увеличивается.
Рис 1.



Рис 3. Рис 4.
Дано.
| Математическая модель решения.
1) Два протона из состояния покоя начинают двигаться в электрическом поле. Работа электрического поля по перемещению зарядов
Приравняем (1) и (2)
Для 1 и 2 протона
Найдем отношение
2) На движущуюся заряженную частицу в магнитном поле действует сила Лоренца (3). По 2 закону Ньютона , где - центростремительное ускорение
Приравняем (3) и (4)
Для 1 и 2-го протона
Найдем отношение
Ответ:
|

На рисунке приведена электрическая цепь, состоящая из гальванического элемента, реостата, трансформатора, амперметра и вольтметра. В начальный момент времени ползунок реостата установлен посередине и неподвижен. Опираясь на законы электродинамики, объясните, как будет изменяться показания приборов в процессе перемещения ползунка реостата влево. ЭДС самоиндукции пренебречь по сравнению с
|
| 
Реконструкция условия задачи
Шаг 1 Шаг 2

I состояние II состояние
.
Математическая модель решения.

1) При перемещении ползунка реостата влево уменьшается длина витков, следовательно, сопротивление уменьшается.

2) По закону Ома для участка цепи. Т.к.

3) Изменение тока, текущего по первичной обмотке трансформатора, вызывает изменение индукции магнитного поля, создаваемого этой обмоткой. В соответствии с законом индукции Фарадея возникает ЭДС индукции во вторичной обмотке, а, следовательно, напряжение на ее концах, регистрируемое вольтметром (когда движение ползунка реостата прекратиться, амперметр будет показывать постоянную силу тока в цепи, а напряжение, измеряемое вольтметром, окажется равным нулю).
При выполнении трюка «Летающий велосипедист» гонщик движется по трамплину под действием силы тяжести, начиная движение из состояния покоя с высоты Н (см. рисунок). На краю трамплина скорость гонщика направлена под таким углом к горизонту, что дальность его полете максимальна. Пролетев по воздуху, гонщик приземляется на горизонтальный стол, находящийся на той же высоте, что и край трамплина. Какова высота на этом трамплине? Сопротивлением воздуха и трением пренебречь.
|
|
Реконструкция условия задачи
| При выполнении трюка «Летающий велосипедист» гонщик движется по трамплину под действием силы тяжести, начиная движение из состояния покоя с высоты Н
Шаг 1.
| На краю трамплина скорость гонщика направлена под таким углом к горизонту, что дальность его полете максимальна.
Шаг 2.
| Пролетев по воздуху, гонщик приземляется на горизонтальный стол, находящийся на той же высоте, что и край трамплина. Какова высота на этом трамплине?
Шаг 3.
| Графическое представление решения.

Рис 1. Рис 2.
Математическая модель решения
1) По закону сохранения полной механической энергии
Т.к. (см. рис 1)
2) Движение тела, брошенного под углом к горизонту
| Время полета 
Подставим (2) в (1)
Дальность полета максимальна, если
Воспользуемся формулой
В проекциях на ось ОУ
Подставим (1) в (4)

Радиус Земли 6400км. Определите, каким должен быть период обращения Земли, чтобы тела, расположенные на экваторе, находились в состоянии «невесомости». Ответ выразите в часах и округлите до десятых.
Реконструкция условия задачи
Шаг 1 Шаг 2

| Радиус Земли 6400км
| Определите, каким должен быть период обращения Земли, чтобы тела, расположенные на экваторе, находились в состоянии «невесомости».
|
Дано: Графическое представление решения.




| Силы, действующие на тело на поверхности Земли
Рис 1.
| В состоянии невесомости нет взаимодействия с опорой
Рис 2.
| В состоянии невесомости на тело действует только сила тяжести
Рис 3.
|
Математическая модель решения.
Изобразим силы, действующие на тело, находящееся на экваторе, и запишем уравнение его движения
Согласно третьему закону Ньютона, равенство нулю веса означает и равенство нулю силы реакции опоры, следовательно
Центростремительное ускорение при вращении Земли. Линейная скорость.
Воспользуемся тем, что угловая скорость вращения Земли
Подставим (3) и (4) во (2)
Подставим (5) в (2) и определим, каким должен быть период обращения Земли T, чтобы тела на экваторе находились в состоянии невесомости.
Ответ: 1,4 часа
| .
Полый шарик массой с зарядом движется в однородном горизонтальном электрическом поле из состояния покоя. Траектория шарика образует с вертикалью угол. Чему равен модуль напряженности электрического поля?
|
Реконструкция условия задачи
| Полый шарик движется в однородном горизонтальном электрическом поле из состояния покоя.
| Траектория шарика образует с вертикалью угол. Чему равен модуль напряженности электрического поля?
|
Шаг 1 Шаг 2
Date: 2015-09-22; view: 2277; Нарушение авторских прав | Понравилась страница? Лайкни для друзей: |
|
|