Главная Случайная страница


Полезное:

Как сделать разговор полезным и приятным Как сделать объемную звезду своими руками Как сделать то, что делать не хочется? Как сделать погремушку Как сделать так чтобы женщины сами знакомились с вами Как сделать идею коммерческой Как сделать хорошую растяжку ног? Как сделать наш разум здоровым? Как сделать, чтобы люди обманывали меньше Вопрос 4. Как сделать так, чтобы вас уважали и ценили? Как сделать лучше себе и другим людям Как сделать свидание интересным?


Категории:

АрхитектураАстрономияБиологияГеографияГеологияИнформатикаИскусствоИсторияКулинарияКультураМаркетингМатематикаМедицинаМенеджментОхрана трудаПравоПроизводствоПсихологияРелигияСоциологияСпортТехникаФизикаФилософияХимияЭкологияЭкономикаЭлектроника






Необходимые сведения из теории САУ





Типовыми динамическими звеньями САУ являются звенья, процессы в которых описываются линейными дифференциальными уравнениями первого и второго порядков с постоянными коэффициентами и в общем случае имеют следующий вид:

(1)

где - соответственно входной и выходной сигналы звена;

; - постоянные коэффициенты.

Данное уравнение дает возможность определить передаточную функцию типового звена в виде

(2)

Анализ возможных вариантов задания коэффициентов передаточной функции (2) показывает, что к типовым звеньям нулевого и первого порядка, т.е. к звеньям, описываемым уравнениями вида (1) при , относятся

следующие

- Безынерционное звено (при )

- Дифференцирующее звено (при )

где .

- Форсирующее звено (при )

, где

- Интегрирующее звено (при )

, где

- Апериодическое звено первого порядка (при )

, где .

- Реальное дифференцирующее звено (при )

, где

Из типовых звеньев второго порядка наибольшее применение нашло колебательное звено при с передаточной функцией следующего вида:

где .

 

Рассмотренная совокупность типовых динамических звеньев первого и второго порядков оказывается достаточной для построения структуры практически любой линейной САУ. При этом сложные реальные звенья могут заменяться последовательным или параллельным соединением нескольких типовых звеньев.

Временными характеристиками являются взаимосвязанные переходная и весовая функции, представляющие собой реакции исследуемых звеньев на типовые воздействия в виде единичной ступенчатой функции и -функции . При этом переходная функция дает возможность оценить устойчивость и качество процессов управления, происходящих в исследуемых звеньях при скачкообразных входных воздействиях.

Частотные характеристики, основанные на использовании преобразования Фурье, позволяют оценить происходящие в звеньях процессы управления не только при скачкообразных, но и при любых других входных сигналах, действующих в реальных условиях.

При этом любой входной сигнал представляется в виде суммы гармоник различных частот с определенными, соответствующими данному сигналу амплитудами и фазами, а реакция на сумму входных гармоник, т.е. выходной сигнал равен сумме реакций на каждую из них.

Для отдельной гармоники на входе линейного звена реакцией будет совокупность вынужденной и переходной составляющих, последняя из которых по истечении некоторого времени затухает, и на выходе звена установится синусоидальный сигнал той же частоты, что и на входе, т.е.

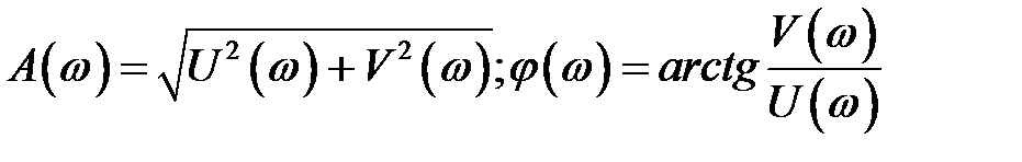
Реакция звена на гармоники различных частот характеризуется его комплексным коэффициентом передачи, который представляет собой амплитудно-фазовую частотную характеристику (АФХ) звена определяется следующим образом:

,

где и - соответственно амплитудная (АЧХ) и фазовая (ФЧХ) частотные характеристики исследуемого звена.

Подставляя выражение для входного и выходного сигналов звена в (3.1), получим уравнение:

 

дающее возможность рассчитать АФХ звена через коэффициенты дифференциального уравнения (1) следующим образом:

(3)

где - соответственно вещественная (ВЧХ) и мнимая (МЧХ) частотные характеристики исследуемого звена. При этом очевидны следующие соотношения:

(4)

Из (2) и (3) видно, что для получения АФХ исследуемого звена достаточно использовать соотношения (4) и его передаточную функцию

.

Таким образом, АФХ, вид которой иллюстрируется рисунке 2.1, представляет собой годограф конца вектора , положение которого определяется фазой в декартовой системе координат при изменении частоты

 

 

Рисунок 3.1 - Вид амплитудно-фазовой частотной характеристики

 

Кроме АФХ звеньев в теории автоматического управления широкое распространение нашли логарифмические амплитудные (ЛАХ) и фазовые (ЛФХ) частотные характеристики (ЛЧХ). При их построении по оси абсцисс откладывается частота в логарифмическом масштабе, а по оси ординат -величина в децибелах и . При этом наибольшее применение получили асимптотические ЛАХ.







Date: 2015-09-22; view: 396; Нарушение авторских прав



mydocx.ru - 2015-2026 year. (0.071 sec.) Все материалы представленные на сайте исключительно с целью ознакомления читателями и не преследуют коммерческих целей или нарушение авторских прав - Пожаловаться на публикацию