Главная Случайная страница


Полезное:

Как сделать разговор полезным и приятным Как сделать объемную звезду своими руками Как сделать то, что делать не хочется? Как сделать погремушку Как сделать так чтобы женщины сами знакомились с вами Как сделать идею коммерческой Как сделать хорошую растяжку ног? Как сделать наш разум здоровым? Как сделать, чтобы люди обманывали меньше Вопрос 4. Как сделать так, чтобы вас уважали и ценили? Как сделать лучше себе и другим людям Как сделать свидание интересным?


Категории:

АрхитектураАстрономияБиологияГеографияГеологияИнформатикаИскусствоИсторияКулинарияКультураМаркетингМатематикаМедицинаМенеджментОхрана трудаПравоПроизводствоПсихологияРелигияСоциологияСпортТехникаФизикаФилософияХимияЭкологияЭкономикаЭлектроника






Общие сведения. Равноточными измерениями -называется ряд измерений некоторой величины, сделанных при помощи средств измерений (СИ)





Равноточными измерениями -называется ряд измерений некоторой величины, сделанных при помощи средств измерений (СИ), обладающих одинаковой точностью, в идентичных исходных условиях.

В большинстве случаев при обработке прямых равноточных измерений исходят из предположения нормального закона результатов и погрешностей измерений.

Изм.
Лист
№ докум.
Подпись
Дата
Лист
   
 
Проведение геодезических измерений показывает, что случайные погрешности результатов равноточных измерений облают следующими статистическими свойствами:

1) По абсолютной величине погрешности не превышают некоторого предела;

2) Положительные и отрицательные погрешности, равные по абсолютной величине, встречаются в ряду примерно одинаково часто;

3) Чем больше погрешность по абсолютной величине, тем она реже встречается в ряду;

4) Чем больше ряд измерений, тем меньше по абсолютной величине среднее арифметическое значение из погрешностей и при достаточно большом числе n измерений

[ ]/n=0

 

 

Изм.
Лист
№ докум.
Подпись
Дата
Лист
   
 
Обработка результатов равноточных измерений

1) Если известны средние квадратические погрешности каких-либо величин, то можно по ним определить среднюю квадратическую погрешность любой функции этих величин.

Задачи по оценке точности таких функций решают, используя готовую формулу, которая выводится на основании положений теории вероятностей.

Для оценки точности функции общего вида:

u=f(x1, х2,…,хn),

где x1, х2,…,хn-измеренные величины

используют формулу

дисперсия функции, - дисперсия измеренных величин.

 

На практике дисперсии заменяют квадратами средних квадратических погрешностей

 

Пример: Стороны прямоугольника измерены с точностью ma и mb. Найти среднюю квадратическую погрешность измерения площади прямоугольника.

ma = 0,02м; mb = 0,02м; а = 200,24м; b = 200,24м.

 


 

 

м

 

 

Изм.
Лист
№ докум.
Подпись
Дата
Лист
   
 
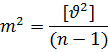
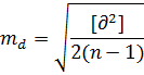
2) В теории погрешностей измерений требуется, чтобы характеристика точности m2 была состоятельной и несмешанной оценкой дисперсии ϭ2. Этим условиям удовлетворяет характеристика

Получив значение m по этой формуле, находят среднюю квадратическую погрешность среднего арифметического

Проверка вычислений производится по формуле

Контроль вычисления выполняют по следующей формуле

Пример: Произвести обработку ряда равноточных измерений угла: 1) найти среднее арифметическое значение; 2) среднюю квадратическую погрешность одного измерения; 3) среднюю квадратическую погрешность арифметической средины (вероятнейшего значения).

 

Результаты измерений ε (li-l0) υ (L-li) υ2 υε
  175̊̍̎ 18̍19̎        
  175̊̍̎ 18̍18̎   +1   +1
  175̊̍̎ 18̍20̎   -1   -3
  175̊̍̎ 18̍21̎   -2   -8
  175̊̍̎ 18̍17̎   +2    
  175̊̍̎ 18̍18̎   +1   +1
  175̊̍̎ 18̍21̎   -2   -8
l0=175̊̍̎ 18̍17̎ [ε]=15 [υ]=1 2]=15 [υε]=-17

 

Проверка:

Контроль:

 

 

Изм.
Лист
№ докум.
Подпись
Дата
Лист
   
 
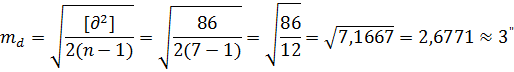
3) Если каждая из величин данного ряда измерена дважды и все измерения равноточны, то среднюю квадратическую погрешность измерения можно определить по разностям двойных равноточных измерений, следующим образом

при этом исключая систематическую погрешность

 

Пример: Найти среднюю квадратическую погрешность измерения угла по разностям двойных равноточных измерений. Исключив систематическую погрешность.

 

Измерения d d2 (d-θ)
l' l "
      2,43 5,9049 14,58
  -2   -5,57 31,0249 11,14
      -0,57 0,3249 -1,71
      2,43 5,9049 14,58
      4,43 19,6249 35,44
  -1   -4,57 20,8849 4,57
      1,43 2,0449 7,15
      [d]=25 [d2]=175 [ ]=0,01 [ 85,7143 [ ]=85,75

 


Контроль:

1)

2)

3)

 

 







Date: 2015-09-18; view: 587; Нарушение авторских прав



mydocx.ru - 2015-2026 year. (0.526 sec.) Все материалы представленные на сайте исключительно с целью ознакомления читателями и не преследуют коммерческих целей или нарушение авторских прав - Пожаловаться на публикацию