Главная Случайная страница


Полезное:

Как сделать разговор полезным и приятным Как сделать объемную звезду своими руками Как сделать то, что делать не хочется? Как сделать погремушку Как сделать так чтобы женщины сами знакомились с вами Как сделать идею коммерческой Как сделать хорошую растяжку ног? Как сделать наш разум здоровым? Как сделать, чтобы люди обманывали меньше Вопрос 4. Как сделать так, чтобы вас уважали и ценили? Как сделать лучше себе и другим людям Как сделать свидание интересным?


Категории:

АрхитектураАстрономияБиологияГеографияГеологияИнформатикаИскусствоИсторияКулинарияКультураМаркетингМатематикаМедицинаМенеджментОхрана трудаПравоПроизводствоПсихологияРелигияСоциологияСпортТехникаФизикаФилософияХимияЭкологияЭкономикаЭлектроника






Сопротивления в цепи переменного тока





Ток, изменяющийся по направлению и величине по гармоническому закону, называется переменным током

 

а
b
c
d
b
а
c
d
а
b
c
d
а
b
c
d
а
b
c
d
N
S
t1
t2
½ T
t3
¾ T
t4
T
t5
t
¼ T


 

 

При вращении рамки в магнитном поле меняется магнитный поток. В рамке наводится переменная ЭДС индукции. Если цепь замкнута, то возникает индукционный ток, который непрерывно меняется по модулю, а через ½ Т – по направлению.

ЭДС индукции, возникающая в рамке будет меняться по закону:

 

е =max sin ω t,

где max = B S ω – амплитудное значение ЭДС индукции.

Вынужденные электрические колебания, возникающие в цепях под действием напряжения, осуществляются по закону:

 

u = Umax sin ω t или u = Umax cos ω t.

Колебания силы тока меняются с такой же частотой, но могут не совпадать по фазе с колебаниями напряжения.

 

i = Imax sin (ω t + φc),

где Imax – амплитуда силы тока, φс – разность фаз между колебаниями силы тока и напряжения.

Сопротивления в цепи переменного тока

Активное Емкостное Индуктивное

u = Um cos ω t, i = Im cos ω t
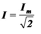
– действующее значение силы тока  

 


 

 

– действующее значение напряжения  

 

 

– закон Ома для цепи переменного тока с резистором  


R – активное сопротивление

P = I U = I2R – действующее

значение

мощности

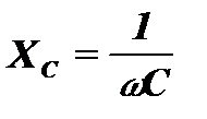
q = C Um cos ω t, u = Um cos ω t   i = q΄= – С Um ω sin ω t i = Im cos (ω t + π) Im = Um C ω,
– закон Ома для цепи переменного тока с индуктивностью  


– емкостное сопротивление  

i = Im sin ω t u = – L i΄= – L Im ω cos ω t и = Um sin (ωt + π) Um = L Im ω
– закон Ома для цепи переменного тока с катушкой индуктивности

XL = ω L – индуктивное

сопротивление

В цепи переменного тока, содержащей активное сопротивление, колебания силы тока i и напряженияисовпадают по фазе В цепи переменного тока, содержащей конденсатор, колебания силы тока i опережают колебания напряжения u на В цепи переменного тока, содержащей катушку индуктивности, колебания напряжения и опережают колебания силы тока i на






Date: 2015-09-05; view: 469; Нарушение авторских прав



mydocx.ru - 2015-2026 year. (0.995 sec.) Все материалы представленные на сайте исключительно с целью ознакомления читателями и не преследуют коммерческих целей или нарушение авторских прав - Пожаловаться на публикацию