Главная Случайная страница


Полезное:

Как сделать разговор полезным и приятным Как сделать объемную звезду своими руками Как сделать то, что делать не хочется? Как сделать погремушку Как сделать так чтобы женщины сами знакомились с вами Как сделать идею коммерческой Как сделать хорошую растяжку ног? Как сделать наш разум здоровым? Как сделать, чтобы люди обманывали меньше Вопрос 4. Как сделать так, чтобы вас уважали и ценили? Как сделать лучше себе и другим людям Как сделать свидание интересным?


Категории:

АрхитектураАстрономияБиологияГеографияГеологияИнформатикаИскусствоИсторияКулинарияКультураМаркетингМатематикаМедицинаМенеджментОхрана трудаПравоПроизводствоПсихологияРелигияСоциологияСпортТехникаФизикаФилософияХимияЭкологияЭкономикаЭлектроника






Данные кинематического расчета КШМ приведены в таблице 1.1





Таблица 1.1 – Перемещение, скорость и ускорение поршня

, град мм м/с J, м/
      7860.591594
  23.656443 18.215812 6178.089713
  84.7 28.948238 2210.791386
  159.6 29.321531 -1719.504411
  224.7 21.838144 -3930.295797
  266.143557 11.105719 -4458.585302
      -4421.582772
  266.143557 -11.105719 -4458.585302
  224.7 -21.838144 -3930.295797
  159.6 -29.321531 -1719.504411
  84.7 -28.948238 2210.791386
  23.656443 -18.215812 6178.089713
      7860.591594

 

 

3 Динамический расчет двигателя

 

3.1 Силы давления газов

Избыточное давление над поршнем

(1.72)

(1.73)
Сила давления газов на поршень


3.2 Определение масс частей кривошипно-шатунного механизма

 

По характеру движения массы деталей кривошипно-шатунного механизма можно разделить на движущиеся возвратно-поступательно (поршневая группа и верхняя головка шатуна); совершающие вращательное

 

движение (коленчатый вал и нижняя головка шатуна) и совершающие сложное плоскопараллельное движение (стержень шатуна).

Масса поршня (для поршня из алюминиевого сплава)

Масса шатуна

Масса неуравновешенных частей одного коленчатого вала без противовесов (для стального коленчатого вала)

Масса шатуна сосредоточенная на оси поршневого пальца:

(1.74)

Масса шатуна сосредоточенная на оси кривошипа:

(1.75)

Массы, совершающие возвратно-поступательное движение:

(1.76)

Массы, совершающие вращательное движение:

(1.77)

3.3 Полные и удельные силы инерции

 

Суммарные силы, действующие в кривошипно-шатунном механизме, определяют алгебраическим сложением сил давления газов и сил возвратно- поступательных движущихся масс. При проведении динамического расчета целесообразно пользоваться не полными, а удельными силами, отнесенными к единице площади поршня. Силы инерции возвратно-поступательных движущихся масс определяют по кривой ускорений.

 

(1.78)
Силы инерции возвратно-поступательно движущихся масс

Центробежная сила инерции вращающихся масс шатуна одного цилиндра:

(1.79)

Центробежная сила инерции вращающихся масс кривошипа:

(1.80)

Центробежная сила инерции вращающихся масс кривошипа и части шатуна:

(1.81)

Суммарные силы

Сила, сосредоточенная на оси поршневого пальца

(1.82)

Нормальная сила

(1.83)

(1.84)
Сила, действующая вдоль оси шатуна:

Сила, действующая вдоль кривошипа от суммарной силы поступательно движущихся частей КШМ

(1.85)

(1.86)
Тангенциальная сила

Крутящий момент от одного цилиндра

(1.87)

Средний крутящий момент двигателя:

 

 

(1.88)
- по данным теплового расчета

(1.89)
- по площади, заключенной под кривой крутящего момента:

(1.90)
F = 2,556 106;

ОшибкаD = (7100 – 7024) 100/7024 =1,08 %.

Превышение среднего крутящего момента составило 1,08 %.

Суммарный крутящий момент:

(1.91)

Рисунок 1.6 – Развернутая индикаторная диаграмма и графики кривых

сил и

Рисунок 1.7 – Построение сил и

 

Рисунок 1.8 – Построение сил и

Рисунок 1.9 – Суммарный крутящий момент

Таблица 1.2 – Силы, действующие в КШМ

, кН , кН , кН , кН
         
  0.115315 -8.594727 -8.479412 -8.479412
  0.115315 -6.755089 -6.639774 -6.705816
  0.115315 -2.417267 -2.301952 -2.372768
  0.115315 1.880097 1.995412 2.078554
  0.115315 4.297364 4.412679 4.548428
  0.115315 4.874992 4.990308 5.039944
  0.115315 4.834534 4.949849 4.949849
  0.129932 4.874992 5.004925 5.054706
  0.185869 4.297364 4.483232 4.621152
  0.340685 1.880097 2.220782 2.313314
  0.847826 -2.417267 -1.569441 -1.617722

 

Продолжение таблицы 1.2

, кН , кН , кН , кН
         
  3.371035 -6.755089 -3.384054 -3.417713
  12.713848 -8.594727 4.119121 4.119121
  5.707073 -6.755089 -1.048016 -1.05844
  1.66743 -2.417267 -0.749837 -0.772905
  0.776072 1.880097 2.656169 2.766842
  0.489234 4.297364 4.786597 4.93385
  0.382641 4.874992 5.257634 5.309929
  0.354447 4.834534 5.188981 5.188981
  0.089 4.874992 4.963992 5.013367
  0.089 4.297364 4.386364 4.521304
  0.089 1.880097 1.969097 2.051142
  0.089 -2.417267 -2.328267 -2.399893
  0.089 -6.755089 -6.666089 -6.732393
  0.089 -8.594727 -8.505727 -8.505727

 


Таблица 1.3 – Силы К, Т и момент

, кН , кН , кН , Н м
         
  -8.479412      
  -5.280806 -0.938814 -4.132924 -0.578609
  -0.652695 -0.575366 -2.281232 -0.319372
  -0.581995 0.581995 1.995412 0.279358

 

Продолжение таблицы 1.3

, кН , кН , кН , Н м
         
  -3.161509 1.102935 3.270024 0.457803
  -4.674529 0.705592 1.884093 0.263773
  -4.949849      
  -4.688221 -0.707659 -1.889612 -0.264546
  -3.212058 -1.12057 -3.322308 -0.465123
  -0.647728 -0.647728 -2.220782 -0.310909
  -0.444999 0.392277 1.555314 0.217744
  -2.691437 0.47848 2.106403 0.294896
  4.119121      
  -0.833518 -0.148182 -0.652337 -0.091327
  -0.212609 -0.187419 -0.743088 -0.104032
  -0.774716 0.774716 2.656169 0.371864
  -3.429407 1.196395 3.547117 0.496596
  -4.924939 0.74339 1.985022 0.277903
  -5.188981      
  -4.649879 -0.701871 -1.874158 -0.262382
  -3.142656 -1.096358 -3.250523 -0.455073
  -0.57432 -0.57432 -1.969097 -0.275674
  -0.660156 0.581943 2.30731 0.323023
  -5.301735 0.942535 4.149304 0.580903
  -8.505727      

 

3.4 Силы, действующие на шатунную шейку коленчатого вала

 

Полярную диаграмму силы действующей на шатунную шейку, строят графическим сложением векторов сил К и Т.

Суммарная сила, действующая на шатунную шейку по радиусу кривошипа

(1.92)

Результирующая сила, действующая на шатунную шейку

(1.93)

 

Рисунок 1.10 – Диаграмма нагрузки на шатунную шейку двигателя в прямоугольных координатах

 

кН
кН

 

 

Рисунок 1.11 – Полярная диаграмма нагрузки на шатунную шейку

 

Площадь, заключенная между кривой и осью абсцисс:

(1.94)

мм2.

Средняя сила, действующая на шатунную шейку:

(1.95)

3.5 Силы, действующие на коренные шейки коленчатого вала

 

Результирующая сила, действующая на коренную шейку, определяется геометрическим сложением сил, равных, но противоположных по направлениям силам, передающимся от двух смежных колен:

Сила, действующая на колено вала по кривошипу


(1.96)

Результирующая сила, действующая на колено вала

(1.97)

Суммарная сила, действующая на коренную шейку

(1.98)

Рисунок 1.12 – Диаграмма нагрузки на коренную шейку двигателя в прямоугольных координатах

 

Рисунок 1.13 – Полярная диаграмма нагрузки на коренную шейку

 

Таблица 1.4 – Силы, действующие на коренные и шатунные шейки коленчатого вала

, кН , кН , кН , кН , кН
           
  -159.85711 159.857211 -544.23 544.5323 -311.23501
  -156.6505 156.713112 -541.377 541.41392 -308.036404
  -152.03094 152.047608 -536.76906 536.774453 -303.408293
  -151.95974 151.972895 -536.69806 536.702616 -303.337593
  -154.53908 154.573901 -539.27842 539.288335 -305.917107

 

Продолжение таблицы 1.4

 

, кН , кН , кН , кН , кН
           
  -156.05228 156.063702 -540.79144 540.794722 -307.430127
  -156.32748 156.327648 -541.06676 541.06676 -307.705447
  -156.06602 156.07746 -540.805132 540.808434 -307.44382
  -154.58957 154.625553 -539.328969 539.339202 -305.967656
  -152.02527 152.041747 -536.764639 536.769233 -303.403326
  -151.82298 151.830764 -536.56191 536.564164 -303.200597
  -154.06936 154.083634 -538.808348 538.812465 -305.447035
  -147.25678 147.258678 -531.99779 531.99779 -298.636477
  -152.21117 152.212715 -536.950429 536.950825 -303.589116
  -151.59408 151.592229 -536.32952 536.330034 -302.968207
  -152.15215 152.175698 -536.891627 536.898197 -303.530314
  -154.80706 154.847839 -539.546318 539.557978 -306.185005
  -156.30239 156.315343 -541.041851 541.045492 -307.680538
  -156.56678 156.56678 -541.305892 541.305892 -307.944579
  -156.02678 156.038934 -540.76679 540.770038 -307.405477
  -154.52055 154.55464 -539.259567 539.269363 -305.898254
  -151.95211 151.964877 -536.691231 536.694843 -303.329918
  -152.03795 152.055462 -536.777067 536.782026 -303.415754
  -156.67953 156.734467 -541.418646 541.434545 -308.057333
  -159.88352 159.883526 -544.622638 544.622638 -311.261325

 

4 Расчет основных деталей двигателя на прочность

 

4.1 Расчет поршня

 

Наиболее напряженным элементом поршневой группы является поршень, воспринимающий высокие газовые, инерционные и тепловые нагрузки. Его основными функциями является уплотнение внутрицилиндрового пространства и передача газовых сил давления с наименьшими потерями кривошипно-шатунному механизму. Поршень представляет собой достаточно сложную деталь, как в отношении самой конструкции, так и в отношении технологии и подбора материала при его изготовлении. Его рассчитывают на прочность без учета переменных нагрузок, которые возникают в цилиндре от давления в период работы двигателя. Учитывают только нагрузки от максимального давления газов в цилиндре. Расчетными элементами данного типа поршня являются: днище, стенки головки, верхняя кольцевая перемычка, опорная поверхность.


Рисунок 1.14 – Расчетная схема поршня

 

Основные данные для расчетов:

- диаметр поршня D = 200 мм;

- ход поршня S = 280 мм;

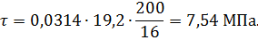
- давление сгорания pz =19,2 МПа;

- площадь поршня Fп = 0,031 м2;

- масса поршня =25 кг;

- наибольшая удельная нормальная сила Nmax=0,037 МН.

В соответствии с существующими аналогичными двигателями и с учетом соотношений принимаем:

- высоту поршня

- высоту юбки поршня

- радиальную толщину кольца

- радиальный зазор в канавке по диаметру

- толщину стенки головки поршня

- величину верхней кольцевой перемычки

- число масляных каналов

- диаметр масляных каналов

Материал поршня – эвтектический алюминиевый сплав с содержанием кремния около 12%

Материал гильзы цилиндра – серый чугун

Внешний диаметр опасного сечения:

(1.99)

Внутренний диаметр опасного сечения:

(1.100)

Площадь маслоотводных отверстий:

(1.101)

Площадь опасного сечения х – х:

(1.102)

- максимальная сжимающая сила:

(1.103)

(1.104)
- напряжение сжатия:

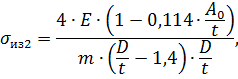
Напряжение разрыва в сечении х – х.

- максимальная угловая скорость холостого хода:

(1.105)

- масса головки поршня с кольцами, расположенными выше сечения х –х:

(1.106)

- максимальная разрывающая сила:

(1.107)

- напряжение разрыва: (1.108)

Напряжения в верхней кольцевой перемычке:

- среза: (1.109)

- изгиба: (1.110)

 

- сложное: (1.111)

Гарантированная подвижность поршня в цилиндре достигается за счет установки оптимальных диаметральных зазоров между цилиндром и поршнем при различных тепловых нагрузках, возникающих в процессе работы двигателя.

Диаметр головки поршня:

(1.112)

(1.113)

Диаметр юбки поршня:

(1.114)

(1.115)

Диаметральные зазоры в горячем состоянии

Головки:

(1.116)

Юбки:

(1.117)

где , , , приняты с учетом жидкостного охлаждения двигателя.

 

4.1.1 Расчет поршневых колец

 

Поршневые кольца работают в условиях высоких температур и значительных переменных нагрузок, выполняя три основные функции:

- герметизации надпоршневого пространства в целях максимально

возможного использования тепловой энергии топлива;

- отвода избыточной доли теплоты от поршня в стенки цилиндра;

- «управления маслом», т.е. рациональное распределение масляного слоя

по зеркалу цилиндра и ограничения попадания масла в камеру сгорания.

Материал кольца – легированный чугун.

 

Модуль упругости материала

Коэффициент линейного расширения

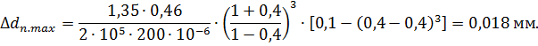
Разность между величинами зазоров кольца в свободном и рабочем состоянии:

(1.118)

(1.119)
Среднее давление кольца на стенку гильзы цилиндра:

Давление кольца на стенку цилиндра в различных точках окружности при грушевидной форме эпюры давления

(1.120)

где – переменный коэффициент, определяемый изготовителем в соответствии с принятой формой эпюры давления кольца на стенку цилиндра.

Напряжение изгиба кольца:

- в рабочем состоянии:

(1.121)

(1.122)
- при надевании кольца на поршень:

где – коэффициент, зависящий от способа надевания кольца,

Монтажный зазор в прямом замке поршневого кольца в холодном состоянии

(1.123)

где минимально допустимый зазор в замке кольца во время работы двигателя

температура кольца в рабочем состоянии ;

(11∙10-6(498-293)- 11∙10-6∙(388-293))

4.1.2 Расчет поршневого пальца

 

Во время работы двигателя поршневой палец подвергается воздействию переменных нагрузок, приводящих к возникновению напряжений изгиба, сдвига, смятия и овализации. В соответствии с указанными условиями работы к материалам, применяемым для изготовления пальцев, предъявляют требования высокой прочности и вязкости. Этим требованиям удовлетворяют цементированные малоуглеродистые и легированные никелем и хромом стали с твердой поверхностью и вязкой основой.

Основные данные для расчета:

- наружный диаметр пальца

- внутренний диаметр пальца

- длина пальца

- расстояние между торцами бобышек

- материал поршневого пальца сталь 12ХНЗА;

- модуль упругости материала

Расчетная сила, действующая на поршневой палец:

 

 

- газовая

(1.124)

- инерционная

(1.125)

- расчетная

(1.126)

,

где - коэффициент, учитывающий массу поршневого пальца.

Удельное давление пальца на втулку поршневой головки шатуна:

(1.127)

Удельное давление пальца на бобышки:

(1.128)

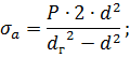
Напряжение изгиба в среднем сечении пальца:

(1.129)

(1.130)

Касательные напряжения среза в сечениях между бобышками и головкой шатуна:

(1.132)
Наибольшее увеличение горизонтального диаметра пальца при овализации:

Напряжение овализации на внешней поверхности пальца:

(1.133)
- в горизонтальной плоскости:

(1.134)
- в вертикальной плоскости:

Напряжение овализации на внутренней поверхности пальца:

(1.135)
- в горизонтальной плоскости:

(1.136)
- в вертикальной плоскости:

Вывод: при выбранных размерах поршня, пальца и поршневых колец напряжения, возникающие от силы давления газов и сил инерции, при работе двигателя не превышают допустимых значений.

4.2 Расчет шатунной группы

 

Конструкция шатунов, применяемых в автомобильных и тракторных двигателях, разнообразна и зависит в основном от типа двигателя и расположения цилиндров. Расчетными элементами шатунной группы являются поршневая и кривошипная головка, стержень шатуна и шатунные болты.

При работе шатун подвергается воздействию знакопеременных газовых и инерционных сил, а в отдельных случаях эти силы создают ударные нагрузки. Поэтому шатуны изготавливают из марганцовистых хромоникелевых сталей с содержанием углерода от 0,3 до 0,45 %.

Расчет поршневой головки шатуна

- масса шатуна

- ход поршня

- диаметр поршневого пальца

- длина верхней головки шатуна

- наружный диаметр головки шатуна

- внутренний диаметр головки шатуна

- радиальная толщина стенки головки

 

- материал шатуна – сталь 40Х

Рисунок 1.15 – Расчетная схема шатунной группы

 

Для стали 40Х:

- предел прочности

Пределы усталости:

- при изгибе

- при растяжении – сжатии

- предел текучести

Коэффициенты приведения цикла:

- при изгибе

- при растяжении – сжатии

При изгибе: (1.137)

0,438;

При растяжении – сжатии:

(1.138)

Расчет сечения I – I:

- максимальное напряжение пульсирующего цикла:

масса части головки выше сечения I – I:

(1.139)

(1.140)

(1.141)
- среднее напряжение и амплитуда цикла:

 

(1.143)

где ,

– эффективный коэффициент концентрации напряжений;

масштабный коэффициент;

коэффициент поверхностной чувствительности (обдувка дробью).

(1.144)

 

(1.145)
то запас прочности в сечении I – I определяется по пределу усталости:

Напряжение от запрессованной втулки:

суммарный натяг

, (1.146)

где – средняя температура подогрева головки и втулки;

- температурный натяг.

, (1.147)

где - натяг посадки бронзовой втулки;

(1.148)
Удельное давление на поверхности соприкосновения втулки с головкой:

где - коэффициент Пуассона.

(1.149)
Напряжение от суммарного натяга на внешней поверхности головки:

 

(1.150)
Напряжение от суммарного натяга на внутренней поверхности головки:

Расчет сечения А-А на изгиб:

Максимальная сила, растягивающая головку:

(1.151)

Нормальная сила и изгибающий момент в сечении 0 – 0:

(1.152)

,

где - угол заделки.

Средний радиус головки:

(1.153)

Нормальная сила и изгибающий момент в расчетном сечении от растягивающей силы:

(1.154)

(1.155)

Напряжение на внешнем волокне от растягивающей силы:

 

(1.157)

(1.158)

(1.159)

Суммарная сила, сжимающая головку:

(1.160)

Н.

Нормальная сила и изгибающий момент в расчетном сечении от сжимающей силы:

(1.161)

(1.162)

(1.163)

(1.165)
Напряжение на внешнем волокне от сжимающей силы:

Максимальное и минимальное напряжения ассиметричного цикла:

; (1.166)

; (1.167)

(1.168)
Среднее напряжение и амплитуда напряжений:

(1.170)

 

(1.171)
то запас прочности в сечении A – A определяется по пределу усталости:

Расчет кривошипной головки шатуна

Данные для расчета:

- масса шатуна

- масса поршня

Принимаем:

- диаметр шатунной шейки

- толщина стенки вкладыша

- расстояние между шатунными болтами

- длина кривошипной головки шатуна

- масса крышки

(1.172)
Максимальная сила инерции, направленная на изгиб крышки нижней головки шатуна:

Внутренний радиус нижней головки:

(1.173)

Момент сопротивления расчетного сечения крышки без учета ребер жесткости:

Моменты инерции вкладыша и крышки:

(1.175)

; (1.176)

Суммарная площадь крышки и вкладыша в расчетном сечении:

(1.177)

Напряжение изгиба крышки нижней головки и вкладыша подшипника:

(1.178)

Расчет стержня шатуна

МН.

Размеры стержня шатуна:

-

-

-

-

-

Материал шатуна – сталь 40Х

Площадь и моменты инерции расчетного сечения В-В:

(1.179)

(1.180)


(1.182)
Коэффициенты, учитывающие влияние продольного изгиба:

(1.183)

(1.184)


Напряжение в сечении В – В от действия сжимающей силы:

- в плоскости качания шатуна:

(1.185)

(1.186)

(1.187)
Минимальное напряжение от растягивающей силы:

Средние напряжения и амплитуды цикла:

Эффективный коэффициент концентрации напряжений:

(1.192)

(1.193)

где ,

(1.193)

(1.194)

то запас







Date: 2015-09-05; view: 1272; Нарушение авторских прав



mydocx.ru - 2015-2026 year. (1.476 sec.) Все материалы представленные на сайте исключительно с целью ознакомления читателями и не преследуют коммерческих целей или нарушение авторских прав - Пожаловаться на публикацию