Главная Случайная страница


Полезное:

Как сделать разговор полезным и приятным Как сделать объемную звезду своими руками Как сделать то, что делать не хочется? Как сделать погремушку Как сделать так чтобы женщины сами знакомились с вами Как сделать идею коммерческой Как сделать хорошую растяжку ног? Как сделать наш разум здоровым? Как сделать, чтобы люди обманывали меньше Вопрос 4. Как сделать так, чтобы вас уважали и ценили? Как сделать лучше себе и другим людям Как сделать свидание интересным?


Категории:

АрхитектураАстрономияБиологияГеографияГеологияИнформатикаИскусствоИсторияКулинарияКультураМаркетингМатематикаМедицинаМенеджментОхрана трудаПравоПроизводствоПсихологияРелигияСоциологияСпортТехникаФизикаФилософияХимияЭкологияЭкономикаЭлектроника






Методика обработки многократно усеченной информации

 

 

2.4 Таблица – Таблица межремонтных ресурсов тракторов исходных данных

Номер двигателя Наработка, мото-ч Номер двигателя Наработка, Мотто-ч Номер двигателя Наработка, мото-ч
    6(пр.)   11(пр.)  
           
        13(пр.)  
    9(пр.)      
5(пр.)          

Для расчета порядковых номеров отказавших машин используем формулу:

 

,

1. Определение порядковых номеров отказавших машин:

 

 

 

 

 

 

 

 

 

 

2. Рассчитываем накопленные опытные вероятности по формуле

 

для первого трактора

для второго трактора

для третьего трактора

для четвертого трактора

для пятого трактора

для шестого трактора

для седьмого трактора

для восьмого трактора

для девятого трактора

для десятого трактора

 

3. Определяем координаты опытных точек для закона нормального распределения по уравнениям и для закона Вейбулла по уравнениям.

 

Координаты опытных точек для ЗНР

 

= 0,05∙1310= 65,5 (мм)

=0,05∙1330= 66,5 (мм)

=0,05 1420= 71 (мм)

=0,05∙1510= 75,5 (мм)

=0,05∙1690= 84,5 (мм)

=0,05∙1780= 89 (мм)

=0,05∙1900= 95 (мм)

=0,05∙2000= 100 (мм)

=0,05∙2020= 101 (мм)

=0,05∙2100= 105 (мм)

 

 

= = 50[2,33 – 2,054] = 13,8 мм

= 50[2,33 – 1,751] = 28,9 мм

= 50[2,33 – 1,476] = 42,7 мм

= 50[2,33 – 1,341] = 49,5 мм

= 50[2,33 – 1,227] = 55,4 мм

= 50[2,33 – 1,126] = 60,2 мм

= 50[2,33 – 0,994] = 66,8 мм

= 50[2,33 – 0,915] = 70,8 мм

= 50[2,33 – 0,806] = 76,2 мм

= 50[2,33 – 0,739] = 79,6 мм

 

Координаты опытных точек для ЗРВ

 

= 100∙lg(1310-1170)= -85,4 (мм)

= 100∙lg(1330-1170)= -79,6 (мм)

= 100∙lg(1420-1170)= -60,2 (мм)

= 100∙lg(1510-1170)= -46,8 (мм)

= 100∙lg(1690-1170)= -28,4 (мм)

= 100∙lg(1780-1170)= -21,5 (мм)

= 100∙lg(1900-1170)= -13,7 (мм)

= 100∙lg(2000-1170)= -8,1 (мм)

= 100∙lg(2020-1170)= -7,1 (мм)

= 100∙lg(2100-1170)= -3,4 (мм

 

=

=

=

=

=

=

=

=

=

=

 

Проведенные расчеты по всем тракторам сводим в таблицу

 

2.5 Таблица - Координаты опытных точек по межремонтным ресурсам тракторов при ЗНР и ЗРВ

 

Порядковый номер отказав- шего трактора   Межремонтный ресурс, мото-ч     ЗНР   ЗРВ
  , мм   , мм   , мм   ,мм
  1,00     0,02 65,5 13,8 -85,4 15,7
  2,00     0,04 66,5 28,9 -79,6  
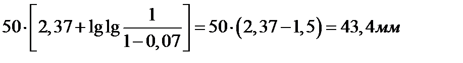
  3,00     0,07   42,7 -60,2 43,4
  4,00     0,09 75,5 49,5 -46,8  
  5,05     0,11 84,5 55,4 -28,4 53,7
  6,1     0,13   60,2 -21,5 57,6
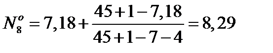
  7,18     0,16   66,8 -13,7 62,5
  8,29     0,18   70,8 -8,1 65,3
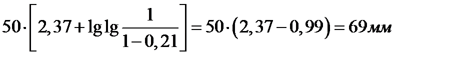
  9,43     0,21   76,2 -7,1  
  10,57     0,23   79,6 -3,4 71,3

 

Так как накопленная опытная вероятность точек с порядковыми номерами 1,00; 2,00; 3,00; 4,00 меньше 0,1…0,15, то эти точки не принимаем за расчетные.

 

 

4. Наносим опытные точки на график с прямоугольными координатами и проводим по ним интегральные кривые ЗНР и ЗРВ.

 

5. Определяем параметры ЗРВ по уравнения:

 

а = анти lg = 2442 мото-ч

 

b= 200/141,52 = 1,41

 

По значениям параметров b определяем коэффициенты Kb=0,91 и Cb=0,66.

 

 

6. Находим смещение, средний межремонтный ресурс и среднее квадратическое отклонение по формулам:

 

мото-ч

мото-ч

 

мото-ч

 

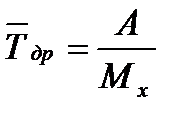
7. Рассчитываем средний доремонтный ресурс и среднее квадратическое отклонение при ЗНР.

 

 

=135,89/0,05=2718мото-ч

 

 

 

=41,18/0,05=843,6 мото-ч


 

 

При законе нормального распределения (ЗНР) среднее квадратическое отклонение составляет 843,6 мото-ч. Это меньше, чем среднее квадратическое отклонение при законе распределения Вейбулла (ЗРВ) - 1612 мото-ч. Следовательно, наиболее целесообразно при подсчетах выбрать закон распределения нормального распределения (ЗНР).

 



<== предыдущая | следующая ==>
Охрана окружающей среды | Задание 2. Моделирование и прогнозирование состояния окружающей среды





Date: 2015-09-05; view: 895; Нарушение авторских прав



mydocx.ru - 2015-2026 year. (0.392 sec.) Все материалы представленные на сайте исключительно с целью ознакомления читателями и не преследуют коммерческих целей или нарушение авторских прав - Пожаловаться на публикацию