Главная Случайная страница


Полезное:

Как сделать разговор полезным и приятным Как сделать объемную звезду своими руками Как сделать то, что делать не хочется? Как сделать погремушку Как сделать так чтобы женщины сами знакомились с вами Как сделать идею коммерческой Как сделать хорошую растяжку ног? Как сделать наш разум здоровым? Как сделать, чтобы люди обманывали меньше Вопрос 4. Как сделать так, чтобы вас уважали и ценили? Как сделать лучше себе и другим людям Как сделать свидание интересным?


Категории:

АрхитектураАстрономияБиологияГеографияГеологияИнформатикаИскусствоИсторияКулинарияКультураМаркетингМатематикаМедицинаМенеджментОхрана трудаПравоПроизводствоПсихологияРелигияСоциологияСпортТехникаФизикаФилософияХимияЭкологияЭкономикаЭлектроника






уменьшится в 100 раз





Задание #162

Вопрос:

Действительный корень уравнения принадлежит интервалу…

 

Выберите один из 4 вариантов ответа:

1)

2)

3)

4)

 

Задание #163

Вопрос:

Действительный корень уравнения принадлежит интервалу…

 

Выберите один из 4 вариантов ответа:

1)

2)

3)

4)

 

Задание #164

Вопрос:

Действительный корень уравнения принадлежит интервалу…

 

Выберите один из 4 вариантов ответа:

1)

2)

3)

4)

 

Задание #165

Вопрос:

Действительный корень уравнения принадлежит интервалу…

 

Выберите один из 4 вариантов ответа:

1)

2)

3)

4)

 

Задание #166

Вопрос:

Действительный корень уравнения принадлежит интервалу…

 

Выберите один из 4 вариантов ответа:

1)

2)

3)

4)

 

Задание #167

Вопрос:

Установите соответствие между уравнением и его решением …

 

Укажите соответствие для всех 3 вариантов ответа:

1) 0

2) 3

3) 2

 

_2_

_3_

_1_

 

Задание #168

Вопрос:

Установите соответствие между уравнением и его решением …

 

Укажите соответствие для всех 3 вариантов ответа:

1) -2

2) 5

3) -3

 

_1_

_2_

_3_

 

Задание #169

Вопрос:

Установите соответствие между уравнением и его решением …

 

Укажите соответствие для всех 3 вариантов ответа:

1) -3

2) 2

3) 3

 

_1_

_2_

_3_

 

Задание #170

Вопрос:

Установите соответствие между уравнением и его решением …

 

Укажите соответствие для всех 3 вариантов ответа:

1) -6

2) 2

3) -1

 

_3_

_1_

_2_

 

Задание #171

Вопрос:

Установите соответствие между уравнением и его решением …

 

Укажите соответствие для всех 3 вариантов ответа:

1) 4

2) -3

3) 5

 

_1_

_2_

_3_

 

Задание #172

Вопрос:

Значение функции в точке можно вычислить по формуле …

 

Выберите один из 4 вариантов ответа:

1)

2)

3)

4)

 

Задание #173

Вопрос:

Значение функции в точке можно вычислить по формуле …

 

Выберите один из 4 вариантов ответа:

1)

2)

3)

4)

 

Задание #174

Вопрос:

Значение функции в точке можно вычислить по формуле …

 

Выберите один из 4 вариантов ответа:

1)

2)

3)

4)

 

Задание #175

Вопрос:

Значение функции в точке можно вычислить по формуле …

 

Выберите один из 4 вариантов ответа:

1)

2)

3)

4)

 

Задание #176

Вопрос:

Значение функции в точке можно вычислить по формуле …

 

Выберите один из 4 вариантов ответа:

1)

2)

3)

4)

 

Задание #177

Вопрос:

График функции проходит через точки

Тогда ее интерполяционный многочлен второго порядка равен…

 

Выберите один из 4 вариантов ответа:

1)

2)

3)

4)

 

Задание #178

Вопрос:

График функции проходит через точки

Тогда ее интерполяционный многочлен второго порядка равен…

 

Выберите один из 4 вариантов ответа:

1)

2)

3)

4)

 

Задание #179

Вопрос:

График функции проходит через точки

Тогда ее интерполяционный многочлен второго порядка равен…

 

Выберите один из 4 вариантов ответа:

1)

2)

3)

4)

 

Задание #180

Вопрос:

График функции проходит через точки

Тогда ее интерполяционный многочлен второго порядка равен…

 

Выберите один из 4 вариантов ответа:

1)

2)

3)

4)

 







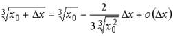
Date: 2015-09-05; view: 832; Нарушение авторских прав



mydocx.ru - 2015-2026 year. (0.442 sec.) Все материалы представленные на сайте исключительно с целью ознакомления читателями и не преследуют коммерческих целей или нарушение авторских прав - Пожаловаться на публикацию