Главная Случайная страница


Полезное:

Как сделать разговор полезным и приятным Как сделать объемную звезду своими руками Как сделать то, что делать не хочется? Как сделать погремушку Как сделать так чтобы женщины сами знакомились с вами Как сделать идею коммерческой Как сделать хорошую растяжку ног? Как сделать наш разум здоровым? Как сделать, чтобы люди обманывали меньше Вопрос 4. Как сделать так, чтобы вас уважали и ценили? Как сделать лучше себе и другим людям Как сделать свидание интересным?


Категории:

АрхитектураАстрономияБиологияГеографияГеологияИнформатикаИскусствоИсторияКулинарияКультураМаркетингМатематикаМедицинаМенеджментОхрана трудаПравоПроизводствоПсихологияРелигияСоциологияСпортТехникаФизикаФилософияХимияЭкологияЭкономикаЭлектроника






Линейным неоднородным дифференциальным уравнением второго порядка с постоянными коэффициентами





Тест

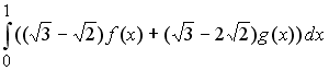
Задание #1

Вопрос:

Если определитель равен 0,3, то определитель равен …

 

Запишите число:

6

Задание #2

Вопрос:

Если определитель равен , то определитель равен …

 

Запишите число:

______ - 3_____________________

 

Задание #3

Вопрос:

Если определитель равен , то определитель равен …

 

Запишите число:

_____9______________________

 

Задание #4

Вопрос:

Если определитель равен , то определитель равен …

 

Запишите число:

______30_____________________

Задание #5

Вопрос:

Если определитель равен , то определитель равен …

 

Запишите число:

________38___________________

 

Задание #6

Вопрос:

Даны матрицы

.

Установите соответствие между двумя множествами

 

Укажите соответствие для всех 3 вариантов ответа:

1)

2)

3)

4)

5)

 

_1_

_2_

_3_

 

Задание #7

Вопрос:

Даны матрицы

.

Установите соответствие между двумя множествами

 

Укажите соответствие для всех 3 вариантов ответа:

1)

2)

3)

4)

5)

 

_5_

_1_

_3_

 

Задание #8

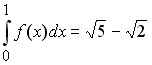
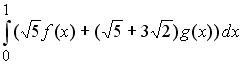
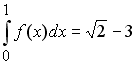
Вопрос:

Даны матрицы

.

Установите соответствие между двумя множествами

 

Укажите соответствие для всех 3 вариантов ответа:

1)

2)

3)

4)

5)

 

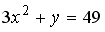
_5_

_1_

_3_

 

Задание #9

Вопрос:

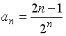
Даны матрицы

.

Установите соответствие между двумя множествами

 

Укажите соответствие для всех 3 вариантов ответа:

1)

2)

3)

4)

5)

 

_1_

_2_

_5_

 

Задание #10

Вопрос:

Даны матрицы

.

Установите соответствие между двумя множествами

 

Укажите соответствие для всех 3 вариантов ответа:

1)

2)

3)

4)

5)

 

3

_5_

_4_

 

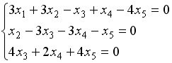
Задание #11

Вопрос:

В системе уравнений

независимыми (свободными) переменными можно считать…

 

Выберите один из 4 вариантов ответа:

1) , , , ,

2) ,

3)

4) , ,

 

Задание #12

Вопрос:

В системе уравнений

независимыми (свободными) переменными можно считать…

 

Выберите один из 4 вариантов ответа:

1) ,

2) , ,

3) , , , ,

4) , , ,

 

Задание #13

Вопрос:

В системе уравнений

независимыми (свободными) переменными можно считать…

 

Выберите один из 4 вариантов ответа:

1)

2)

3) ,

4) , ,

 

Задание #14

Вопрос:

В системе уравнений базисными (несвободными) переменными можно считать…

 

Выберите один из 4 вариантов ответа:

1) , , , ,

2)

3) , ,

4) ,

 

Задание #15

Вопрос:

В системе уравнений базисными (несвободными) переменными можно считать…

 

Выберите один из 4 вариантов ответа:

1) , ,

2)

3) ,

4)

 

Задание #16

Вопрос:

Даны графики прямых f,g,h,u:

Укажите последовательность этих прямых в порядке убывания их угловых коэффициентов.

 

Укажите порядок следования всех 4 вариантов ответа:

_3_ h

_4_ g

_1_ u

_2_ f

 

Задание #17

Вопрос:

Даны графики прямых f,g,h,u:

Укажите последовательность этих прямых в порядке возрастания их угловых коэффициентов.

 

Укажите порядок следования всех 4 вариантов ответа:

_2_ h

_3_ f

_4_ u

_1_ g

 

Задание #18

Вопрос:

Даны графики прямых f,g,h,u:

Укажите последовательность этих прямых в порядке возрастания их угловых коэффициентов.

 

Укажите порядок следования всех 4 вариантов ответа:

_3_ g

_4_ f

_2_ h

_1_ u

 

Задание #19

Вопрос:

Даны графики прямых f,g,h,u:

Укажите последовательность этих прямых в порядке возрастания их угловых коэффициентов.

 

Укажите порядок следования всех 4 вариантов ответа:

_2_ h

_4_ f

_1_ g

_3_ u

Задание #20

Вопрос:

Укажите соответствие между кривыми второго порядка и их уравнениями:

 

Укажите соответствие для всех 4 вариантов ответа:

1) эллипс

2) парабола

3) гипербола

4) окружность

 

_2_

_4_

_3_

_1_

 

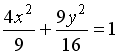
Задание #21

Вопрос:

Укажите соответствие между кривыми второго порядка и их уравнениями:

 

Укажите соответствие для всех 4 вариантов ответа:

1) гипербола

2) эллипс

3) парабола

4) окружность

 

_2_

_3_

_1_

_4_

 

Задание #22

Вопрос:

Укажите соответствие между кривыми второго порядка и их уравнениями:

 

Укажите соответствие для всех 4 вариантов ответа:


1) гипербола

2) окружность

3) парабола

4) эллипс

 

_4_

_1_

_2_

_3_

 

Задание #23

Вопрос:

Укажите соответствие между кривыми второго порядка и их уравнениями:

 

Укажите соответствие для всех 4 вариантов ответа:

1) окружность

2) парабола

3) эллипс

4) гипербола

 

_2_

_1_

_4_

_3_

 

Задание #24

Вопрос:

Укажите соответствие между кривыми второго порядка и их уравнениями:

 

Укажите соответствие для всех 4 вариантов ответа:

1) эллипс

2) окружность

3) гипербола

4) парабола

 

_3_

_1_

_4_

_2_

 

Задание #25

Вопрос:

В пространстве имеется отрезок, соединяющий две точки с абсциссами разных знаков. Тогда этот отрезок обязательно пересекает …

 

Выберите один из 4 вариантов ответа:

1) плоскость

2) ось абсцисс

3) плоскость

4) плоскость

 

Задание #26

Вопрос:

В пространстве имеется отрезок, соединяющий две точки с нулевыми ординатами. Тогда этот отрезок целиком лежит …

 

Выберите один из 4 вариантов ответа:

1) в плоскости

2) на оси ординат

3) в плоскости

4) в плоскости

 

Задание #27

Вопрос:

В пространстве имеется отрезок, соединяющий две точки с нулевыми аппликатами. Тогда этот отрезок целиком лежит …

 

Выберите один из 4 вариантов ответа:

1) в плоскости

2) в плоскости

3) на оси аппликат

4) в плоскости

 

Задание #28

Вопрос:

Пусть и . Установите соответствие между элементами двух множеств

 

Укажите соответствие для всех 3 вариантов ответа:

1)

2)

3)

4) должно быть (2, 0, 0)

5)

 

_4_

_1_

_3_

 

Задание #29

Вопрос:

Пусть и . Установите соответствие между элементами двух множеств

 

Укажите соответствие для всех 3 вариантов ответа:

1)

2)

3)

4)

5)

 

_2_

_3_

_5_

 

Задание #30

Вопрос:

Пусть и . Установите соответствие между элементами двух множеств

 

Укажите соответствие для всех 3 вариантов ответа:

1)

2)

3)

4)

5)

 

_1_

_2_

_4_

 

Задание #31

Вопрос:

Пусть и . Установите соответствие между элементами двух множеств

 

Укажите соответствие для всех 3 вариантов ответа:

1)

2)

3)

4)

5)

 

_3_

_4_

_5_

 

Задание #32

Вопрос:

Пусть и . Установите соответствие между элементами двух множеств

 

Укажите соответствие для всех 3 вариантов ответа:

1)

2)

3)

4)

5)

 

_3_

_5_

_4_

 

Задание #33

Вопрос:

Выражение равно …

 

Запишите число:

_____ - 10______________________

 

Задание #34

Вопрос:

Выражение равно …

 

Запишите число:

________8___________________

 

Задание #35

Вопрос:

Выражение равно …

 

Запишите число:

_______4____________________

 

Задание #36

Вопрос:

Установите соответствие между функцией и её областью определения

 

Укажите соответствие для всех 3 вариантов ответа:

1)

2)

3)

4)

5)

 

_5_

_4_

_1_

 

Задание #37

Вопрос:

Установите соответствие между функцией и её областью определения


 

Укажите соответствие для всех 3 вариантов ответа:

1)

2)

3)

4)

5)

 

_5_

_1_

_2_

 

Задание #38

Вопрос:

Установите соответствие между функцией и её областью определения

 

Укажите соответствие для всех 3 вариантов ответа:

1)

2)

3)

4)

5)

 

_3_

_2_

_4_

 

Задание #39

Вопрос:

Установите соответствие между функцией и её областью определения

 

Укажите соответствие для всех 3 вариантов ответа:

1)

2)

3)

4)

5)

 

_4_

_5_

_1_

 

Задание #40

Вопрос:

Установите соответствие между функцией и её областью определения

 

Укажите соответствие для всех 3 вариантов ответа:

1)

2)

3)

4)

5)

 

_1_

_2_

_5_

 

Задание #41

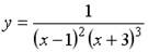
Вопрос:

Число точек разрыва функции равно…

 

Выберите один из 4 вариантов ответа:

1) 5

2) 0

3) 2

4) 3

 

Задание #42

Вопрос:

Число точек разрыва функции равно…

Выберите один из 4 вариантов ответа:

1) 3

2) 6

3) 0

4) 5

Задание #43

Вопрос:

Число точек разрыва функции равно…

 

Выберите один из 4 вариантов ответа:

1) 0

2) 2

3) 3

4) 1

 

Задание #44

Вопрос:

Число точек разрыва функции равно…

 

Выберите один из 4 вариантов ответа:

1) 4

2) 3

3) 2

4) 7

 

Задание #45

Вопрос:

Число точек разрыва функции равно…

 

Выберите один из 4 вариантов ответа:

1) 3

2) 2

3) 7

4) 9

 

Задание #46

Вопрос:

Значение производной второго порядка функции в точке равно…

 

Выберите один из 4 вариантов ответа:

1) -1

2) -11

3) -10

4) -12

 

Задание #47

Вопрос:

Значение производной второго порядка функции в точке равно …

 

Выберите один из 4 вариантов ответа:

1) -23

2) 0

3) -18

4) -2

 

Задание #48

Вопрос:

Значение производной второго порядка функции в точке равно …

 

Выберите один из 4 вариантов ответа:

1) -5

2) -80

3) 80

4) 5

 

Задание #49

Вопрос:

Значение производной второго порядка функции в точке x=0 равно

 

Выберите один из 4 вариантов ответа:

1) 1

2) -1

3) 100

4) -100

 

Задание #50

Вопрос:

Производная второго порядка функции имеет вид…

 

Выберите один из 4 вариантов ответа:

1)

2)

3)

4)

 

Задание #51

Вопрос:

Функция задана графиком на отрезке .

Установите соответствие между заданными условиями и промежутками.

 

Укажите соответствие для всех 4 вариантов ответа:

1)

2)

3) (1;2)

4)

 

_3_ , ,

_4_ , ,

_1_ , ,

_2_ , ,

 

Задание #52

Вопрос:

Функция задана графиком на отрезке .


Установите соответствие между заданными условиями и промежутками.

 

Укажите соответствие для всех 4 вариантов ответа:

1)

2)

3)

4)

5)

 

_2_ , ,

_4_ , ,

_1_ , ,

_3_ , ,

 

Задание #53

Вопрос:

Функция задана графиком на отрезке .

Установите соответствие между заданными условиями и промежутками.

 

Укажите соответствие для всех 4 вариантов ответа:

1)

2)

3)

4)

5)

 

_5_ , ,

_2_ , ,

_1_ , ,

_3_ , ,

 

Задание #54

Вопрос:

Функция задана графиком на отрезке .

 

Установите соответствие между заданными условиями и промежутками.

 

Укажите соответствие для всех 4 вариантов ответа:

1)

2)

3)

4)

5)

 

_3_ , ,

_4_ , ,

_5_ , ,

_1_ , ,

 

Задание #55

Вопрос:

Функция задана графиком на отрезке .

Установите соответствие между заданными условиями и промежутками.

 

Укажите соответствие для всех 4 вариантов ответа:

1)

2)

3)

4)

5)

 

_2_ , ,

_1_ , ,

_4_ , ,

_3_ , ,

 

Задание #56

Вопрос:

Для функции справедливы соотношения …

 

Выберите несколько из 4 вариантов ответа:

1)

2)

3)

4)

 

Задание #57

Вопрос:

Для функции справедливы соотношения …

 

Выберите несколько из 4 вариантов ответа:

1)

2)

3)

4)

 

Задание #58

Вопрос:

Для функции справедливы соотношения …

 

Выберите несколько из 4 вариантов ответа:

1)

2)

3)

4)

 

Задание #59

Вопрос:

Для функции справедливы соотношения …

 

Выберите несколько из 4 вариантов ответа:

1)

2)

3)

4)

 

Задание #60

Вопрос:

Для функции справедливы соотношения …

 

Выберите несколько из 4 вариантов ответа:

1)

2)

3)

4)

 

Задание #61

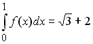
Вопрос:

Если , , то интеграл равен …

 

Запишите число:

______5_____________________

 

Задание #62

Вопрос:

Если , , то интеграл равен …

 

Запишите число:

__________ - 1_________________

 

Задание #63

Вопрос:

Если , , то интеграл равен …

 

Запишите число:

_________11_________________

 

Задание #64

Вопрос:

Если , , то интеграл равен …

 

Запишите число:

_________ _- 5_________________

 

Задание #65

Вопрос:

Если , , то интеграл равен …

 

Запишите число:

__________23_________________

 

Задание #66

Вопрос:

Задано множество точек на числовой прямой: , , , , , . Тогда количество точек этого множества, принадлежащих - окрестности точки при , равно …,.

 

Запишите число:

_________4__________________

 

Задание #67

Вопрос:

Задано множество точек на числовой прямой: , , , , , . Тогда количество точек этого множества, принадлежащих - окрестности точки при , равно …

 

Запишите число:

____________3_______________

 

Задание #68

Вопрос:

Задано множество точек на числовой прямой: , , , , , . Тогда количество точек этого множества, принадлежащих - окрестности точки при , равно …

 

Запишите число:

____________3_______________

 

Задание #69

Вопрос:

Задано множество точек на числовой прямой: , , , , , . Тогда количество точек этого множества, принадлежащих - окрестности точки при ε =1,2, равно …, равно …

 

Запишите число:

_________4__________________

 

Задание #70

Вопрос:

Задано множество точек на числовой прямой: , , , , , . Тогда количество точек этого множества, принадлежащих - окрестности точки при , равно …

 

Запишите число:

__________2_________________

 

Задание #71

Вопрос:

Мера множества, изображенного на рисунке,

равна…

 

Выберите один из 4 вариантов ответа:

1)

2)

3)

4)

 

Задание #72

Вопрос:

Мера множества, изображенного на рисунке,

равна…

 

Выберите один из 4 вариантов ответа:

1)

2)

3)

4)

 

Задание #73

Вопрос:

Мера множества, изображенного на рисунке,

равна…

 

Выберите один из 4 вариантов ответа:

1)

2)

3)

4)

 

Задание #74

Вопрос:

Мера плоского множества, изображенного на рисунке,

равна…

 

Выберите один из 4 вариантов ответа:

1) 4

2) 12

3) 8

4) -8

 

Задание #75

Вопрос:

Мера плоского множества, изображенного на рисунке,

равна…

 

Выберите один из 4 вариантов ответа:

1) 0

2) 32

3) 96

4) -32

 

Задание #76

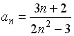
Вопрос:

Установить соответствие между числовой последовательностью и ее пределом при

 

Укажите соответствие для всех 4 вариантов ответа:

1)

2)

3)

4)

5) 0

6)

 

_6_

_5_

_2_

_1_

 

Задание #77

Вопрос:

Установить соответствие между числовой последовательностью и ее пределом при .

 

Укажите соответствие для всех 4 вариантов ответа:

1) 0

2)

3)

4)

5)

6)

 

_6_

_1_

_3_

_2_

 

Задание #78

Вопрос:

Установите соответствие между числовой последовательностью и формулой ее общего члена

 

Укажите соответствие для всех 3 вариантов ответа:

1)







Date: 2015-09-05; view: 1959; Нарушение авторских прав



mydocx.ru - 2015-2026 year. (0.587 sec.) Все материалы представленные на сайте исключительно с целью ознакомления читателями и не преследуют коммерческих целей или нарушение авторских прав - Пожаловаться на публикацию