Главная Случайная страница


Полезное:

Как сделать разговор полезным и приятным Как сделать объемную звезду своими руками Как сделать то, что делать не хочется? Как сделать погремушку Как сделать так чтобы женщины сами знакомились с вами Как сделать идею коммерческой Как сделать хорошую растяжку ног? Как сделать наш разум здоровым? Как сделать, чтобы люди обманывали меньше Вопрос 4. Как сделать так, чтобы вас уважали и ценили? Как сделать лучше себе и другим людям Как сделать свидание интересным?


Категории:

АрхитектураАстрономияБиологияГеографияГеологияИнформатикаИскусствоИсторияКулинарияКультураМаркетингМатематикаМедицинаМенеджментОхрана трудаПравоПроизводствоПсихологияРелигияСоциологияСпортТехникаФизикаФилософияХимияЭкологияЭкономикаЭлектроника






К выполнению лабораторной работы №5

Методические указания

«Гидравлические турбины»

по дисциплине «Общая энергетика»

 

 

Тула 2010 г.

 
 

 


Разработали: к.т.н. доцент кафедры Э Карницкий В.Ю.

ассистент кафедры Э Резник А.Я.


Цель работы: Ознакомиться с принципом работы гидравлических турбин.

Теоретические сведения:

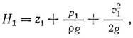
Гидравлической турбиной называется двигатель, преобразующий энергию движущейся воды в механическую энергию вращения его рабочего колеса. Из основного закона механики жидкости — закона Бернулли — следует, что удельная энергия H 1 на входе в рабочее колесо гидротурбины (рис. 1) составляет:

а на выходе из рабочего колеса

где р — давление, Па; ρ — плотность жидкости, кг/м3; g — ускорение свободного падения, м/с2; z— отметка уровня центра потока относительно принятой плоскости сравнения (высота), м; v — скорость, м/с.

Эти выражения представляются либо в линейных единицах высоты, либо в удельных энергетических, Дж/Н.

Отданная водой рабочему колесу энергия будет равна разности энергий в потоке рабочего колеса до и после него:

Таким образом, вся энергия потока состоит из энергии положения
z 1z 2, энергии давления (образующих вместе потенциальную энергию) и кинетической энергии .

В зависимости от того, какие из трех членов уравнений Бернулли главным образом реализуются в конструкции машины для создания напора, гидротурбины разделяются на несколько видов.

Гидротурбины, использующие хотя бы частично потенциальную энергию, называются реактивными. В таких гидротурбинах

и, следовательно, процесс преобразования энергии на рабочем колесе происходит с избытком давления. Кроме того, в рабочем колесе турбины частично используется и кинетическая энергия потока.

Если гидротурбины используют только кинетическую энергию потока, то они называются активными. В таких турбинах z 1 = z 2; р 1= p 2, т. е. вода поступает на рабочее колесо без избыточного давления. В целях достижения высокого к. п. д. в них почти весь напор преобразуется в скорость.

Рис. 1. Схема рабочего колеса турбины.

Мощность гидротурбины согласно уравнению может быть выражена так:

,

где Q – расход воды, η – КПД турбины.

Из этой формулы следует, что сочетание Q т и Н т может быть самым разнообразным и, следовательно, одну и ту же мощность от нескольких сотен до нескольких тысяч киловатт можно получить при малом Q т и большом Н т и наоборот.

В практике принято гидротурбины подразделять на классы, системы, типы и серии.

Класс реактивных гидротурбин объединяет следующие системы: осевые, пропеллерные, поворотно-лопастные, диагональные и радиально-осевые гидротурбины.

В класс активных гидротурбин входят системы турбин ковшовых, наклонно-струйных и двойного действия. Последние две системы не имеют такого широкого распространения, как ковшовые.

Каждая система содержит несколько типов, имеющих геометрически подобные проточные части и одинаковую быстроходность (частота вращения гидротурбины, работающей под напором 1 м и развивающей мощность в 1 л. с.), но различающихся по размерам. Геометрически подобные гидротурбины различных размеров образуют серию.

Кроме того, все гидротурбины условно делят на низко-, средне- и высоконапорные. Низконапорными принято считать гидротурбины, работающие при Н т < 25 м, среднена-порными — при 25 ≤ Н т ≤ 80 и высоконапорными — при Н т >80 м.

Рис. 2. Ковшовая турбина.

а — схема турбинной установки; б — рабочее колесо.

Гидротурбины подразделяют на малые, средние и крупные.

К малым относятся гидротурбины, у которых диаметр рабочего колеса D 1≤1,2 м при низких напорах и D 1≤0,5 при высоких, а мощность составляет не более 1000 кВт.

К средним относятся гидротурбины, у которых 1,2м ≤ D 1 ≤ 2,5 м при низких напорах и 0,5 ≤ D 1 ≤ 1,6 м при высоких, а мощность
1000 кВт ≤ N т ≤ 15000 кВт.

К крупным относятся гидротурбины, которые имеют D 1 и N т больше, чем у средних.

Активные гидротурбины. Наиболее распространенными активными гидротурбинами являются ковшовые (за рубежом их называют турбинами Пельтона). Принципиальная схема ковшовой турбины приведена на рис. 2. Вода из верхнего бьефа 1 подводится трубопроводом 2 к рабочему колесу 4, выполненному в виде диска, закрепленного на горизонтальном или вертикальном валу турбины и вращающегося в воздухе. По окружности диска расположены ковшеобразные лопасти (ковши) 7. На ковшах происходит преобразование гидравлической энергии, заключенной в струе, в механическую. Ковши равномерно распределяются по ободу рабочего колеса и последовательно, один за другим, при его вращении «принимают» струю.


Подвод воды к рабочему колесу осуществляется посредством сопла 3, внутри которого расположена регулирующая игла. Сопло представляет собой сходящийся насадок, из отверстия которого при работе турбины выбрасывается струя воды. В сопле вся энергия воды, подведенной к нему по трубопроводу за вычетом потерь, обращается в кинетическую. Рабочее колесо и сопла размещаются внутри замкнутого кожуха 5.

Игла, перемещаясь в сопле в продольном направлении, меняет его выходное сечение и тем самым регулирует диаметр выходящей струи, а значит, и расход воды через сопло.

Игла в одном из крайних своих положений полностью закрывает сопло и останавливает турбину. Вода, отдав свою энергию рабочему колесу, стекает с него в отводящий канал (нижний бьеф).

В целях предотвращения значительного повышения давления в подводящем воду трубопроводе, являющегося следствием гидравлического удара, игла закрывается медленно. Для быстрого отвода струи от рабочего колеса применяется отклонитель 6, отбрасывающий воду в сторону. Перемещение иглы и отклонителя производится одновременно. Таким образом, в ковшовых турбинах осуществляется регулирование расхода и мощности турбины.

Конструктивные формы ковшовых турбин очень разнообразны и могут различаться по расположению вала (вертикальные и горизонтальные) и по числу сопл и рабочих колес на одном валу.

Ковшовые турбины используются в диапазоне напора 300 — 1770 м с диаметром рабочего колеса до 7,5 м.

В РФ мало ГЭС с ковшовыми турбинами. Наиболее крупная турбина создана на Ленинградском металлическом заводе для Татевской ГЭС (мощность 54,6 МВт).

Реактивные гидротурбины. К реактивным гидротурбинам, как указывалось выше, относятся: радиально-осевые, пропеллерные, поворотно-лопастные (включая двухперовую) и диагональные. Общий вид их рабочих колес представлен на рис. 3.

Для реактивных гидротурбин характерны следующие основные признаки. Рабочее колесо располагается полностью в воде, поэтому поток передает энергию одновременно всем лопастям рабочего колеса.

Перед рабочим колесом только часть энергии воды находится в кинетической форме, остальная представлена потенциальной энергией, соответствующей разности давлений до и после колеса.

Рис. 3. Общий вид рабочих колес реактивных турбин.

а — радиально-осевая; б — пропеллерная; в — поворотно-лопастная;
г — двухперовая; д — диагональная

Избыточное давление p / ρg по мере протекания воды по проточному тракту рабочего колеса расходуется на увеличение относительной скорости, т. е. на создание реактивного давления потока на лопасти. Изменение направления потока за счет кривизны лопастей приводит к возникновению активного давления потока. Таким образом, действие потока на лопасти рабочего колеса складывается из реактивного воздействия, возникающего вследствие увеличения относительной скорости, и активного давления, возникающего вследствие изменения направления потока.

Радиально-осевые гидротурбины (РО). Эти турбины (за рубежом их называют турбинами Френсиса) характерны тем, что вода при входе на рабочее колесо движется в радиальной плоскости, а после рабочего колеса — в осевом направлении. Они используются в довольно широком диапазоне напоров — от 30—40 до 600—650 м. Такой большой диапазон обеспечивается конструктивными особенностями рабочего колеса и турбины в целом.


Рабочее колесо радиально-осевой гидротурбины состоит из ряда лопастей 2 сложной пространственной формы, равномерно распределенных по окружности ступицы 1 и обода 3 (рис. 3, а, 4). Все три элемента объединены и представляют одну жесткую конструкцию. Число лопастей может колебаться от 9 для низконапорных до 21 для высоконапорных турбин. За диаметр рабочего колеса принимается максимальный диаметр по входным кромкам лопастей D 1.

Перед рабочим колесом гидротурбины устанавливаются направляющий аппарат, вращающиеся лопатки 4 которого обеспечивают необходимое изменение расхода воды, проходящей через рабочее колесо, и наилучшее для обтекания его лопастей направление потока, что повышает к.п.д. гидротурбины.

Рис. 4. Рабочее колесо радиально-осевой турбины.

Рис. 5. Рабочее колесо пропеллерной турбины.

Рис. 6. Рабочее колесо поворотно-лопастной турбины.

1 — корпус рабочего колеса; 2 — обтекатель; 3 — лопасти; 4—камера рабочего колеса; 5 — лопатки направляющего аппарата.

 

Лопасти рабочих колес крупных гидротурбин имеют в сечении по линии потока обтекаемую форму, что позволяет делать их значительной толщины для достижения необходимой прочности.

С увеличением используемого напора форма рабочего колеса радиально-осевых турбин изменяется: отношение выходного диаметра к входному D 2/ D 1 уменьшается. Так, для Красноярской ГЭС (Н ≈ 100 м) D 2/ D 1=1,13, а для Ингурской ГЭС (Н = 270 м) D 2/ D 1=0,68.

Высоконапорные гидротурбины иногда оборудуют холостыми выпусками для отвода воды из рабочего колеса и уменьшения за счет этого гидравлического удара при сбросе нагрузки.

В настоящее время созданы уникальные турбины раднально-осевого типа (Красноярская, Саяно-Шушенская в РФ, Грэнд Кули в США) как по единичной мощности (600—700 МВт), так и по размерам (диаметр рабочего колеса 9,5 м).

Пропеллерные гидротурбины (Пр). Рабочее колесо (рис. 5) состоит из корпуса (втулки) 1 с обтекателем 2 и лопастей 3, установленных под углом разворота φ. Оно, как видно из рисунка, отличается от колес радиально-осевых гидротурбин отсутствием обода, меньшим числом лопастей и их формой (в данном случае она похожа на форму гребного винта или пропеллера). На лопасти рабочего колеса поток поступает только в осевом направлении, вследствие чего такие гидротурбины называют также осевыми.

Для подвода воды к направляющему аппарату 5 гидротурбины служит турбинная камера 4. Чтобы обеспечить равномерное по всему периметру направляющего аппарата питание рабочего колеса турбинную камеру выполняют с суживающимся поперечным сечением.


Число лопастей рабочего колеса зависит от напора и может колебаться от 3 до 8 (растет с увеличением напора). Лопасти закреплены на втулке под постоянным углом φ = —10°, —5°, 0°, +5°, +10°, +15°, +20°, отсчитываемым от некоторого среднего положения (φ = 0). Обычно на гидротурбине с диаметром рабочего колеса D 1 = l,6 м при их остановке предусматривается возможность перестановки лопастей на тот или иной угол. Основными достоинствами пропеллерных турбин являются простота конструкции и сравнительно высокий к. п. д. Однако они имеют существенный недостаток, заключающийся в том, что с изменением нагрузки резко изменяется их к. п. д. Зона высоких значений к. п. д. наблюдается только в узком диапазоне мощностей. Из-за этого недостатка резко снижается эффективность пропеллерных турбин при использовании их в системах с дефицитом энергии. Однако он становится несущественным, если основным назначением ГЭС является покрытие пика графика нагрузки, т. е. при малом числе часов использования установленной мощности ГЭС. Иногда на крупных ГЭС пропеллерные гидротурбины устанавливаются вместе с радиально-осевыми или поворотно-лопастными, которые имеют более растянутый диапазон максимального значения к. п. д.

Поворотно-лопастные гидротурбины (ПЛ). По конструктивному исполнению поворотно-лопастные турбины (за рубежом их называют турбинами Каплана) не отличаются от пропеллерных, но у них в процессе работы лопасти рабочего колеса могут поворачиваться вокруг своих осей, перпендикулярных оси вала (рис. 3, е, 6).

Мощность, отдаваемая рабочим колесом такой гидротурбины, и его к.п.д. при заданном напоре зависят как от открытия лопаток направляющего аппарата 5, так и от угла поворота φ лопастей по отношению к втулке. Изменяя угол установки лопастей при различных открытиях направляющего аппарата, а следовательно, при различной мощности, можно найти такое положение лопастей, при котором к.п.д. гидротурбины будет иметь наибольшее значение. Конструктивно поворотно-лопастные гидротурбины выполняются таким образом, что лопасти рабочего колеса при работе гидротурбины могут автоматически поворачиваться на некоторый (оптимальный) угол (отсюда название поворотно-лопастные) одновременно с изменением открытия направляющего аппарата. Такое двойное регулирование дает большие преимущества, так как обеспечивается автоматическое поддержание высокого значения к. п. д. в широком диапазоне мощностей.

Рис. 7. Рабочее колесо двухперовой турбины.

 

Поворотно-лопастные гидротурбины используют в диапазоне напоров от 3 — 5 до 35 — 45 м. В последнее время, стремясь использовать некоторые преимущества этих гидротурбин перед радиально-осевыми, предпринимаются небезуспешные попытки применять их на напоры до 70—75 и даже 90 м.

Самые большие в мире по размеру поворотно-лопастные гидротурбины установлены на Саратовской ГЭС (диаметр рабочего колеса 10,3 м). Изготовлены они на Харьковском турбинном заводе.

Двухперовая гидротурбина. Увеличение числа лопастей рабочего колеса поворотно-лопастной гидротурбины по мере повышения используемого напора приводит к возрастанию относительного диаметра втулки (d вт/ D 1) и последующему ухудшению энергетических качеств турбины. Для смягчения этого недостатка применяются спаренные (двухперовые) рабочие лопасти, имеющие общий фланец и общую цапфу (рис. 7), что позволяет повысить пропускаемый турбинный расход. Двухперовые гидротурбины не имеют пока широкого распространения из-за конструктивных сложностей.

Диагональные гидротурбины (Д). Появление этих гидротурбин обусловлено теми же причинами, что и двухперовых, т. е. стремлением обеспечить возможность работы осевых гидротурбин двойного регулирования в области повышенных напоров, используемых радиально-осевыми турбинами.

Отличие диагональных гидротурбин от радиально-осевых заключается в конструкции рабочего колеса, которая представляет собой конусообразную втулку с расположенными на ней под некоторым углом к оси вращения колеса лопастей (число их доходит до 14), поворачивающихся относительно своих осей (см. рис. 3, д). Втулка рабочего колеса, несмотря на свои относительно большие размеры, чем размеры втулки у поворотно-лопастных гидротурбин, не создает стеснения потока, и благодаря этому за рабочим колесом нет участка с резким расширением сечения, как в осевых турбинах, что в сочетании с другими особенностями диагональных турбин обеспечило им более высокие энергетические качества. Максимальное значение к.п.д. диагональной гидротурбины на 1,5—2,5 % выше, чем осевой. Вместе с тем они сложнее по конструкции, чем осевые и радиально-осевые, а в ряде случаев уступают последним и по кавитационным качествам.

Диагональные гидротурбины еще не имеют широкого распространения (они установлены на Бухтарминской и Зейской ГЭС), однако, как показывают исследования, они могут оказаться очень эффективными в диапазоне напоров от 35— 40 до 150—200 м и особенно при больших колебаниях нагрузки.

Часть из рассмотренных гидротурбин может быть использована не только в вертикальном, но и в горизонтальном исполнении. Кроме того, реактивные турбины могут быть выполнены обратимыми, что, в частности, очень важно при строительстве ГАЭС.

 



<== предыдущая | следующая ==>
к выполнению лабораторной работы №4 | 





Date: 2015-09-05; view: 1152; Нарушение авторских прав



mydocx.ru - 2015-2026 year. (1.748 sec.) Все материалы представленные на сайте исключительно с целью ознакомления читателями и не преследуют коммерческих целей или нарушение авторских прав - Пожаловаться на публикацию