Главная Случайная страница


Полезное:

Как сделать разговор полезным и приятным Как сделать объемную звезду своими руками Как сделать то, что делать не хочется? Как сделать погремушку Как сделать так чтобы женщины сами знакомились с вами Как сделать идею коммерческой Как сделать хорошую растяжку ног? Как сделать наш разум здоровым? Как сделать, чтобы люди обманывали меньше Вопрос 4. Как сделать так, чтобы вас уважали и ценили? Как сделать лучше себе и другим людям Как сделать свидание интересным?


Категории:

АрхитектураАстрономияБиологияГеографияГеологияИнформатикаИскусствоИсторияКулинарияКультураМаркетингМатематикаМедицинаМенеджментОхрана трудаПравоПроизводствоПсихологияРелигияСоциологияСпортТехникаФизикаФилософияХимияЭкологияЭкономикаЭлектроника






Хід виконання роботи. Дослідження ефекту Холла у напівпровіднтках

Дослідження ефекту Холла у напівпровіднтках

 

Виконав:

Студент групи ФеМ-42

Третяк М.Я.

Перевірив:

Лис Р.М.

 

 

Львів 2013р.

 

Міністерство освіти і науки України

ЛНУ імені Івана Франка

 

Лабораторна робота № 2

Дослідження ефекту Холла у напівпровіднтках

 

Виконав:

Студент групи ФеМ-42

Борейчук С.М.

Перевірив:

Лис Р.М.

 

 

Львів 2013р.

 

Мета роботи. Визначення концентрації, рухливості і знака носіїв заряду в напівпровідниках на основі вимірювань е.р.с. Холла.

Хід виконання роботи

Дослідження ефекту Холла здійснюється на установці, яка складається з об’єкта дослідження та вимірного пристрою.

1. Ознайомитися з Інструкцією.

2. Виміряти залежності:

при =const;

при =const.

3. Визначити: 1) сталу Холла;

2) тип носіїв заряду;

3) рухливість носіїв заряду.

Параметри зразка: (4х4) мм2, товщина – 0,6 мм.

 

Виконання роботи

Робочі формули:

1) сталу Холла;

.

2) Рухливість носіїв заряду.

.

 

 

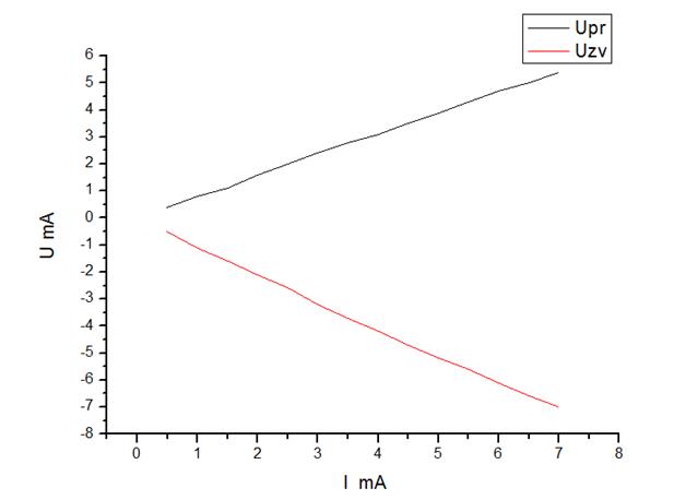
1,4 мА 2 мА 3 мА 4,4 мА  
мА пряме, мВ зворотнє, мВ пряме, мВ зворотнє, мВ пряме, мВ зворотнє, мВ пряме, мВ зворотнє, мВ  
0,5 0,1 -0,3 0,2 -0,4 0,4 -0,5 0,6 -0,8  
  0,3 -0,6 0,5 -0,8 0,8 -1,1 1,1 -1,5  
1,5 0,5 -0,9 0,7 -1,1 1,1 -1,6 1,8 -2,2  
  0,7 -1,2   -1,6 1,6 -2,1 2,4 -2,9  
2,5 0,8 -1,5 1,2 -1,9   -2,6   -3,6  
    -1,8 1,5 -2,3 2,4 -3,2 3,5 -4,4  
3,5 1,2 -2 1,8 -2,7 2,8 -3,7 4,1 -5  
  1,4 -2,3   -3 3,1 -4,2 4,7 -5,8  
4,5 1,5 -2,6 2,3 -3,4 3,5 -4,7 5,3 -6,4  
  1,7 -2,8 2,5 -3,7 3,9 -5,2 5,9 -7,1  
5,5 1,9 -3,1 2,8 -4,1 4,3 -5,6 6,4 -7,7  
    -3,4   -4,4 4,7 -6,1   -8,4  
6,5 2,2 -3,6 3,2 -4,7   -6,6 7,5 -9  
  2,4 -3,9 3,5 -5,1 5,4 -7   -9,6  
                         
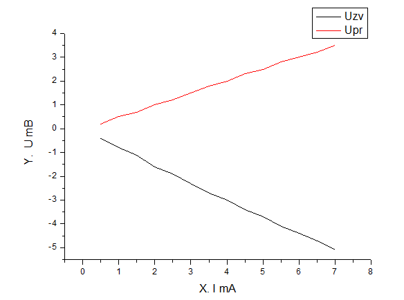
-1,4 мА -2 мА -3 мА -4,4 мА  
мА пряме, мВ зворотнє, мВ пряме, мВ зворотнє, мВ пряме, мВ зворотнє, мВ пряме, мВ зворотнє, мВ  
0,5 -0,2   -0,3 0,1 -0,5 0,2 -0,7 0,4  
  -0,4 0,1 -0,6 0,3 -0,9 0,6 -1,4    
1,5 -0,6 0,2 -0,9 0,4 -1,4 0,9 -2,1 1,5  
  -0,9 0,3 -1,2 0,6 -1,8 1,2 -2,6    
2,5 -1,1 0,4 -1,6 0,8 -2,3 1,5 -2,3 2,5  
  -1,3 0,4 -1,9   -2,7 1,8 -3,9    
3,5 -1,5 0,5 -2,2 1,1 -3,2 2,2 -4,6 3,5  
  -1,8 0,6 -2,5 1,3 -3,6 2,4 -5,2    
4,5 -2 0,7 -2,8 1,5 -4,1 2,8 -5,9 4,5  
  -2,2 0,8 -3,1 1,7 -4,5 3,1 -6,5    
5,5 -2,4 0,9 -3,4 1,9 -5 3,4 -7,1 5,5  
  -2,6   -3,7   -5,4 3,7 -7,8    
6,5 -2,8 1,1 -3,9 2,2 -5,8   -8,3 6,5  
  -3 1,2 -4,2 2,3 -6,2 4,3 -8,8    
                           
                                                         

 

1,4 mА

2 mА

 

 

3 mА

4,4 mA

Зворотні

-1,4 mA

-2 mA

-3 mA

-4,4 mA

Висновок: на цій лабораторній роботі ми визначили концентрації, рухливості і знака носіїв заряду в напівпровідниках на основі вимірювань е.р.с. Холла.

 



<== предыдущая | следующая ==>
О защите прав потребителей | Основные положения расчета металлических конструкций. Нагрузки и воздействия, расчетные сопротивления





Date: 2015-09-19; view: 333; Нарушение авторских прав



mydocx.ru - 2015-2026 year. (0.651 sec.) Все материалы представленные на сайте исключительно с целью ознакомления читателями и не преследуют коммерческих целей или нарушение авторских прав - Пожаловаться на публикацию